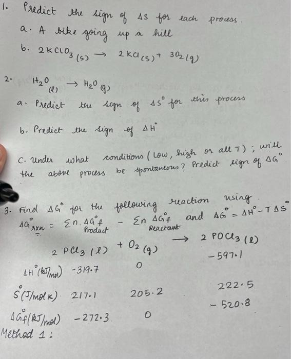
Question: 1. process Predict the sign of As for each a. A bike going up a A b. 2 2ka (s) + 30219 up a hill
1. process Predict the sign of As for each a. A bike going up a A b. 2 2ka (s) + 30219 up a hill (5) 2- HO HO 9 a Predict the sign of As for this process ' b. Predict the sign of AH O c. Under what the above process conditions (Low, high or all T) will be spontaneous? Predict eign of AG" maction using for the following 3. Find AGO 4G and AG = 4H-TAS En AGF - En. Aaf rxn Product Reactant 2 POCL3 (1) + 02 (9) - 597.1 0 2 Pllz (1) AH (km) -319.7 5 (5/molk) 217.1 Auf / RJ / mot) 272.3. Method 1: 205.2 222.5 - 520.8 (kJ 0
Step by Step Solution
There are 3 Steps involved in it
Get step-by-step solutions from verified subject matter experts
