Question: Make sure all the answers are 100% correct! Please double-check and make sure all the answers are 100% correct! Please double-check and make sure all
Make sure all the answers are 100% correct! Please double-check and make sure all the answers are 100% correct! Please double-check and make sure all the answers are 100% correct! Please double-check and make sure all the answers are 100% correct!






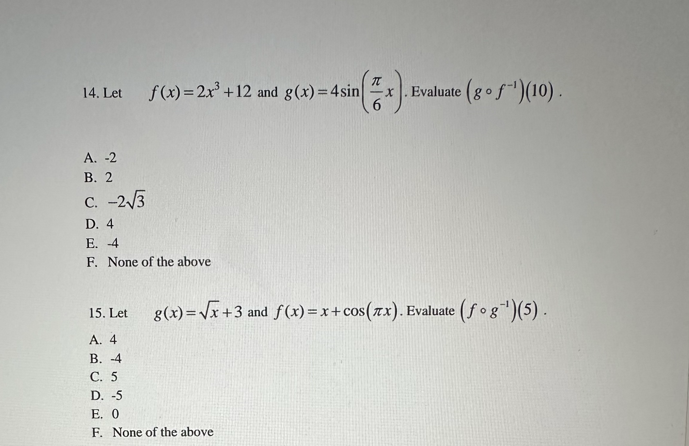
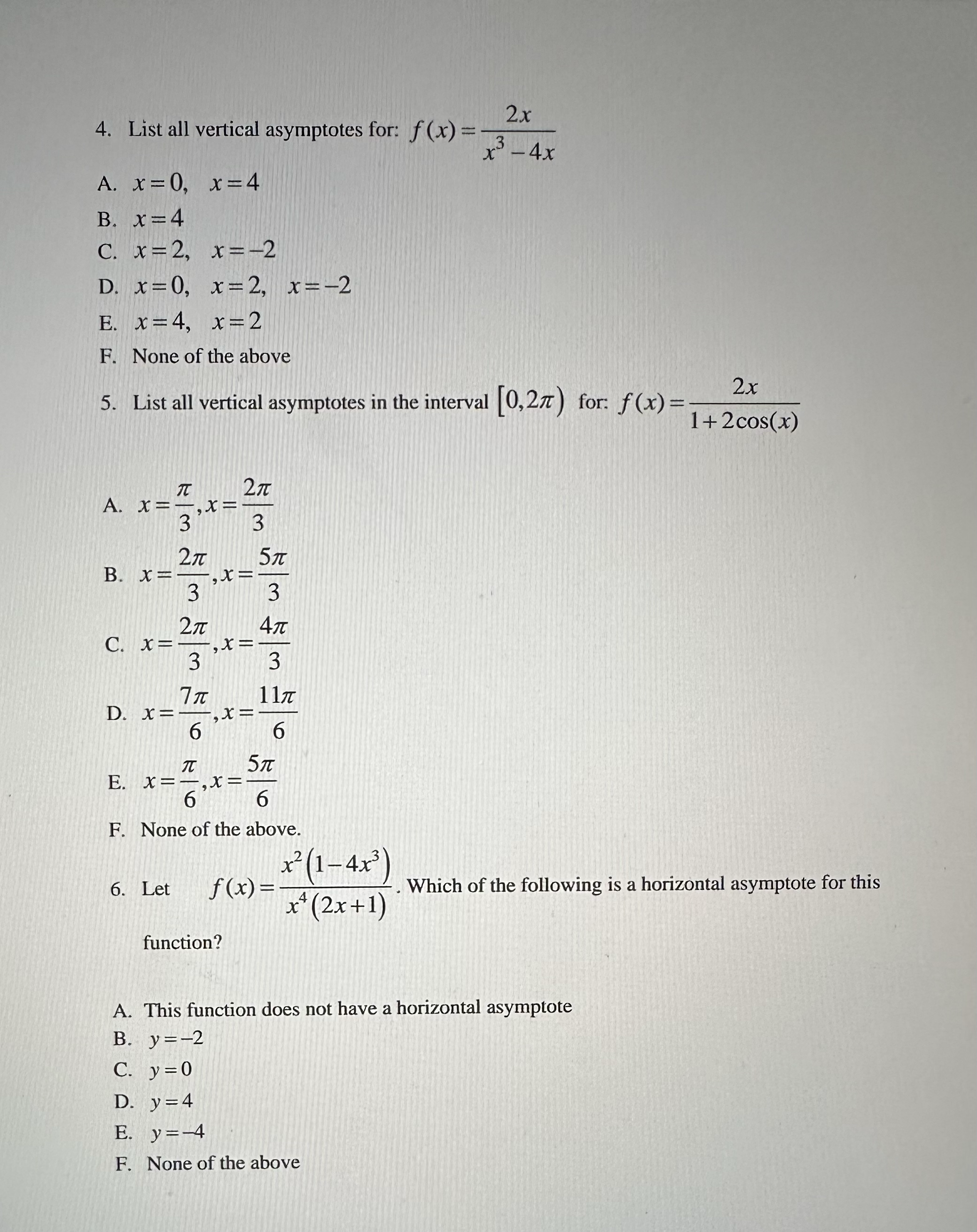
\f9. -3 - -1 -2 The graph of a function is given above; the function has a hole at the point B. Which of the following can be this function? (Hint: Collect clues from the graph; what are the asymptotes?) A. f ( x ) = * + x (x + 1) (x2 -4) B. f(x) = x - x * + x (x- 1) (x2 -4) C. f (x ) = x 2 - 4 D. f (x) = x2 - 1 E. f (x ) =- x 2 + x F. None of (x+ 1) ( x2 -4) (x - 1) (x2 -4) these10. Let f (x)=2x -3 and g(x)=2cos(x) +1. Evaluate (fog)(0) A. 0 B. -1 C. 1 D. 15 E. 16 F. None of the above 1 1. Let f (x) =2x-, g(x) =4x-5 and h(x) =2x -1. Evaluate (fo hog ) (2). A. 72 B. 98 C. 20 D. 32 E. 50 F. None of the above 12. Let f (x) = 2x + x+5; find f-'(8) . A. 1 B. -1 C. 0 D. -2 E. 2 F. None of the above 13. Let f(x)= x -5 and g(x) =2x +1. Evaluate (fog-!) (7). A. 1 B. -1 C. 4 D. 89 E. -4 F. None of the above1. Find the difference quotient f(xth ) - f(x) for f ( x ) = x2 - 4x. h A . h -2x+4 B. h+4x-2 C. h+2x-4 D. h+x2-2x+4 E. h - 4 F. None of these 2. Evaluate the difference quotient f( xth) - f(x) at x = 3 for f (x) =x2+5x-1. h A. 13 + h B. 11 + h C. 9 th D. 5 + h E. 9 +2 h F. None of these 3. Find the domain of the function: f (x) = Vx+1 x- - 2x A. (-00, 0) U ( 2, 00 ) B. [-1, 2) U ( 2, 00) C. [-1,00) D. [-1,0) U (0, 2) U ( 2,00) E. (-00, 0) U (0, 2) U ( 2, 00) F. None of the above7. Which of the following functions has a horizontal asymptote y = 2 ? A) f (x ) = _2x-1 x 2 - 9 B ) f (x ) = _ x - 2 x- 1 C) f(x) = 8x2 -1 (2x - 1) 2 D) f (x ) = 2X - 1 x+2 E) f(x) 6x -2 2x3 +4 F) None of these. 8. The graph of a function is given above. Which of the following can be this function? (Hint: Investigate the asymptotes and any other clues you might gather from the graph.) A. f ( x ) = - x2 - 4x -4 C. f (x) = 4x - 4x x 2 - 9 B. f (x) = 2_9 x 2 - 9 D. f(x) = 2x - 4 E. f ( x ) = - 2x2 -8 F. None of the above x2 - 9 x- + 92x 4. List all vertical asymptotes for: f(x) = x3 - 4x A. x=0, x=4 B. x=4 C. x =2, x=-2 D. x =0, x =2, x=-2 E. x =4, x=2 F. None of the above 5. List all vertical asymptotes in the interval [0, 27 ) for: f (x) =- 2x 1+ 2cos(x) 2 TC A. X= X 3 3 B. X= 3 3 2 TT 4TC C. X = X: 3 3 7 7 1 1x D. X = X 6 6 5TT E. x= -, ,X 6 6 F. None of the above. x2 (1-4x3 6. Let f(x) Which of the following is a horizontal asymptote for this x (2x + 1 ) function? A. This function does not have a horizontal asymptote B. y=-2 C. y=0 D. y =4 E. y = -4 F. None of the above
Step by Step Solution
There are 3 Steps involved in it
Get step-by-step solutions from verified subject matter experts
