Question: Match which molecule goes with these spectrum. Using the last screenshot pictures as reference ffffffffffffffXWM30 parts per Million 100- Transmittance 40 30 3000 20DO 1900

Match which molecule goes with these spectrum. Using the last screenshot pictures as reference

Match which molecule goes with these spectrum.Match which molecule goes with these spectrum.Match which molecule goes with these spectrum.Match which molecule goes with these spectrum.Match which molecule goes with these spectrum.Match which molecule goes with these spectrum.Match which molecule goes with these spectrum.Match which molecule goes with these spectrum.Match which molecule goes with these spectrum.Match which molecule goes with these spectrum.Match which molecule goes with these spectrum.Match which molecule goes with these spectrum.Match which molecule goes with these spectrum.Match which molecule goes with these spectrum.Match which molecule goes with these spectrum.Match which molecule goes with these spectrum.Match which molecule goes with these spectrum.Match which molecule goes with these spectrum.Match which molecule goes with these spectrum.Match which molecule goes with these spectrum.
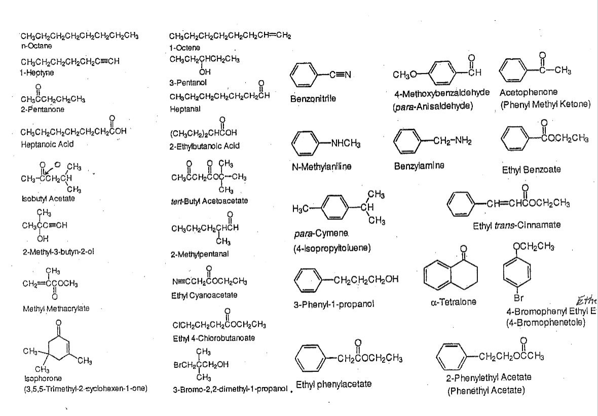
\f\f\f\f\f\f\f\f\f\f\f\f\f\fXWM30 parts per Million 100- Transmittance 40 30 3000 20DO 1900 1700 1500 Filet kum30 1300 1100 700 Wavenumbers (cm-1) Comment LICAC FORCHgCH2CH2CH2CH2CH2CH2CH3 CH3CH2CH2CH2CH2CH2CH=CH2 n-Octane 1-Octene CH3CH2CH2CH2CH2C==CH CHg CH2CHCH2CHg 1-Heptyne OH -CEN CHaO CH C-CHa 3-Pentanol CHgCCH2CH2CHa CHaCH2CH2CH2CH2CH2CH Benzonitrite 4-Methoxybenzaldehyde Acetophenone 2-Pentanone Heptanal (para-Anisaldehyde) (Phenyl Methyi Ketone) CHg CH2CH2CH2CH2CH2COH (CH,CH2)2CHCOH Heptanoic Acid 2-Ethylbutanolc Acid -NHCH3 CH2-NH2 COCH 2 CHa 9 0 CHS N-Methylaniline Benzylamine CH3-CCH2 CH CH,CCH2COC--CH, Ethyl Benzoate CH3 Isobutyl Acetate tert-Butyl Acetoacetate CH3 CH3 HaC- CH -CH=CHOOCH2 CH3 CHICCECH CH3 CH2 CH2CHCH CH3 OH para-Cymene, Ethyl trans-Cinnamate CH 2-Methyl-3-butyn-2-ol 2-Methylpentanal (4-Isopropyltoluene) OCH2CH3 CH3 CH2-CCOCH, N= CCH2COCH2CH, -CH2CH2 CH2OH Ethyl Cyanoacetate Methyl Methacrylate 3-Phenyl-1-propanol o-Tetralone Br Ethe 4-Bromophenyl Ethyl E CICH2CH2CH2COCH2CH3 (4-Bromophenetole) Ethyl 4-Chlorobutanoate CH3 CH3 8 CH3 -CH2COCH2 CH3 CH2 CHOCCH3 CH3 BrCH,CCH2OH isophorone CH3 2-Phenylethyl Acetate (3,5,5-Trimethyl-2-cyclohexen-1-one) 3-Bromo-2,2-dimethyl-1-propanol . Ethyl phenylacetate (Phenethyl Acetate)Sample 30 Analysis 1H NMR Spectrum: . Chemical Shifts: o ~2.1 ppm (singlet, 3H) - Typical of a methyl group adjacent to a carbonyl group (e.g., acetyl group). o ~2.5 ppm (singlet, 3H) - Possibly another methyl group, likely in a slightly different environment (could also be due to a methyl on an aromatic ring or sulfur-containing group). o ~7.2-7.8 ppm (multiplet, 5H) Classic pattern for a monosubstituted benzene ring (aromatic protons). . Integration (Estimated): ~3:3:5 - Suggests: . Two methyl groups (3H each), . One phenyl ring (5H total). O IR Spectrum: . Sharp, strong peak at ~1700 cm-1 - Characteristic of a C=0 stretch (carbonyl group). . Peaks ~3000 cm-1 - Indicate C-H stretching in sp2 and sp3 hybridized systems. . No broad O-H stretch - Likely no alcohol or carboxylic acid present. Probable Functional Groups: . Aromatic ring (from NMR and IR). . Carbonyl group (from IR, likely a ketone). . Two methyl groups (from NMR). Identified Compound: Acetophenone (CHsCOCH3) . Structure: A phenyl ring attached to a carbonyl group (as in a methyl ketone). . Matches: . IR: Strong C=0, aromatic C-H. . NMR: 5 aromatic H's, 3H singlet from CH3 next to C=0.Sure! Here's a cleaner, more structured format-organized as a table-for listing each spectrum (16-30) alongside its identified compound and key evidence. This will help you easily compare all your samples at a glance. Once you provide the data (e.g., spectral info or suggestions you already have), I can fill in the details. Spectra 16-30: Compound Identification Summary Spectrum # Proposed Structure |Key IR 16 [Name] IR: (e.g. 1700 cr singlets multiple 17 Name] IR: ... , N 18 [Name] IR: ... , N 19 [Name] IR: ..., 20 [Name] IR: ... , N 21 [Name] IR: ... , N 22 [Name] IR: ..., N 23 [Name] IR: ..., 24 [ Name] IR: ..., N 25 [Name] IR: ..., N 26 Name] IR: ..., N 27 [Name] IR: ..., N 28 Name] IR: ..., N 29 Name] IR: ..., N 30 Acetophenone IR: strol ~1700 ( C-H. NI (7.2-7. 3H sing How This Works: 1. Spectrum #: Your sample identifier. 2. Proposed Structure: What the compound likely is. 3. Key IR Features: Major peaks indicating functional groups. 4. Key NMR Features: Significant chemical shifts, signal types, and integrations. Next Steps: . If you've already identified compounds for #16-29, just list them here and I'll help plug in the matching IR/NMR evidence. . If you have the spectra, you can upload them and I'll analyze each one like I did for #30 . Or, tell me your proposed structures and I can help confirm or correct them using spectral evidence.Sample 16: Identification Summary Spectrum # Identified Compound Ke 16 Butanone (Methyl ethyl Tri ketone) pat CH (CH Details: 1H NMR Analysis: . ~2.1 ppm (singlet, 3H): Methyl group adjacent to carbonyl (CH3 -CO). . ~2.4 ppm (quartet, 2H): CH2 group next to carbonyl and CH3. . ~1.0 ppm (triplet, 3H): Terminal methyl group (CH3 -CH2). This pattern is a textbook ethyl group next to a carbonyl = butanone. IR Analysis: . Strong sharp peak near ~1715 cm-1 C=0 stretch, confirms ketone. . Moderate peaks at ~2950-2850 cm-1 - C-H stretches from alkyl groups. . No broad O-H or sharp aromatic C=C region - consistent with simple aliphatic ketone. Conclusion: . Sample 16 is Butanone (C4HO). . IR confirms presence of a ketone. . NMR clearly shows the ethyl-methyl ketone structure.V Spectrum Identification: Samples 16 to 30 Spectrum # Identified Molecule Ju: NN 16 Butanone (Methyl ethyl . ketone) at . (ke pei aci Sin CH ppl ppl eth 17 [Awaiting spectrum] Up NN 18 [Awaiting spectrum] Up NM 20 [Awaiting spectrum] Up NM 21 [Awaiting spectrum] Up NM 22 [Awaiting spectrum] Up NN 23 [Awaiting spectrum] Upi NN 24 [Awaiting spectrum] Up NM 25 [Awaiting spectrum] Up NN 25 [Awaiting spectrum] Upi NN 26 [Awaiting spectrum] Upi NN 27 [Awaiting spectrum] Up NM 28 [Awaiting spectrum] Upi NN 29 [Awaiting spectrum] Upi NN 30 Acetophenone . ( ~ 1 C- 5H ( ~] me 8H me What to do next: . Please upload or show spectra 17-29, and I'll fill in the rest. . I'll continue in this exact table format for each one

Step by Step Solution

There are 3 Steps involved in it

1 Expert Approved Answer
Step: 1 Unlock blur-text-image
Question Has Been Solved by an Expert!

Get step-by-step solutions from verified subject matter experts

Step: 2 Unlock
Step: 3 Unlock

Students Have Also Explored These Related Accounting Questions!