Question: Please quality check my solutions for this advanced heat transfer problem. Show all work. Thank you. All original documents are located at the bottom. 3.9

Please quality check my solutions for this advanced heat transfer problem. Show all work. Thank you. All original documents are located at the bottom.

Please quality check my solutions for thisPlease quality check my solutions for thisPlease quality check my solutions for thisPlease quality check my solutions for thisPlease quality check my solutions for thisPlease quality check my solutions for thisPlease quality check my solutions for thisPlease quality check my solutions for thisPlease quality check my solutions for thisPlease quality check my solutions for thisPlease quality check my solutions for thisPlease quality check my solutions for thisPlease quality check my solutions for thisPlease quality check my solutions for thisPlease quality check my solutions for thisPlease quality check my solutions for thisPlease quality check my solutions for thisPlease quality check my solutions for thisPlease quality check my solutions for thisPlease quality check my solutions for thisPlease quality check my solutions for thisPlease quality check my solutions for thisPlease quality check my solutions for thisPlease quality check my solutions for thisPlease quality check my solutions for thisPlease quality check my solutions for this
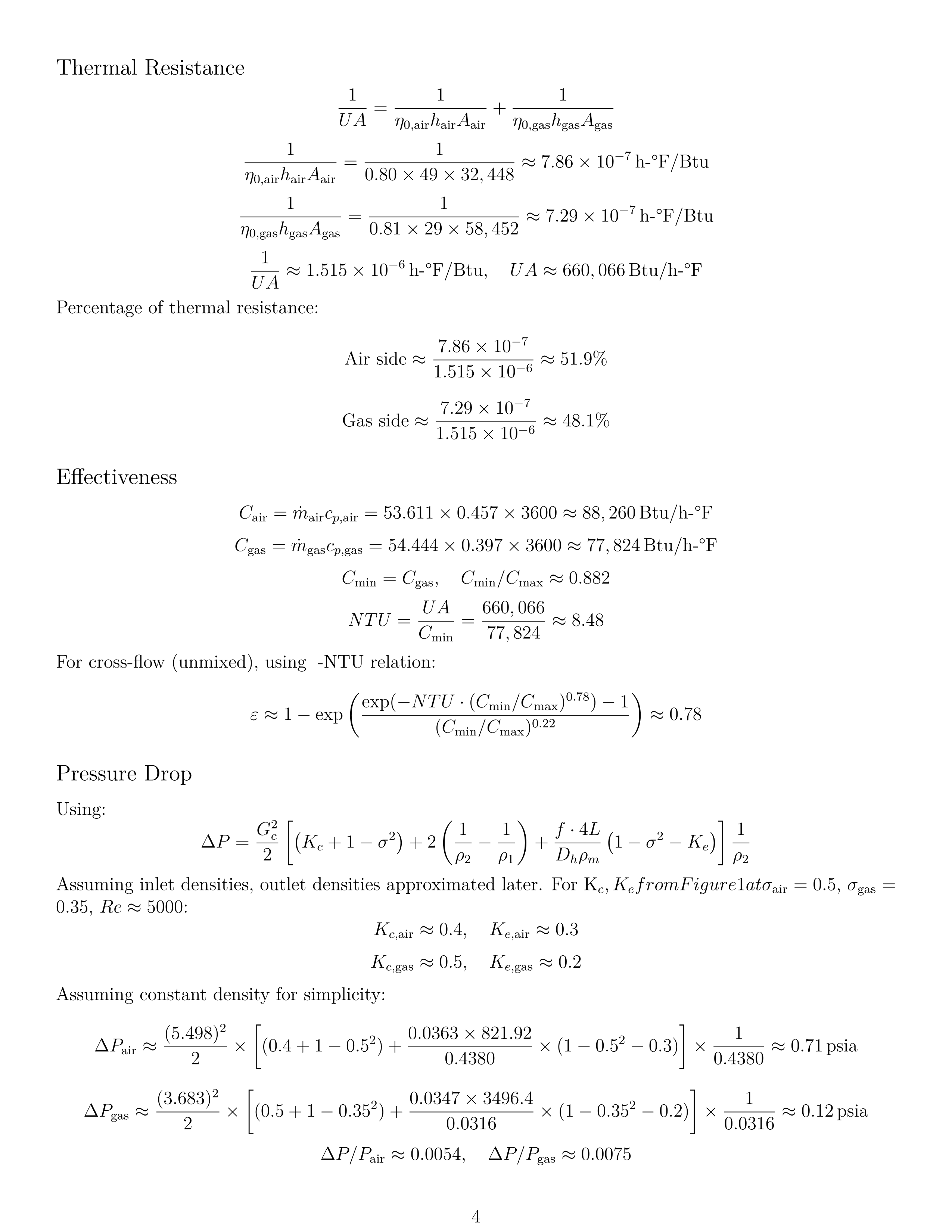
3.9 COMPACT HEAT EXCHANGERS 3.9.10-1 3.9.10 Pressure drop calculation O R. L. Webb After the heat exchanger geometry is fixed, the pressure loss may be calculated. The pressure loss for each stream through the heat exchanger finned pas- ages is calculated by AP = Ge (Ke + 1 - 02) 2 2 +JA P1 -PI Pm Ac Ket LAMINAR Na 2 000 - 02 - Ke) 3000 (1) 5000 P 2 10 000 0.4- The terms of Eq. (1) are entrance loss, flow accelera- Kc and a3- tion loss, core friction, and exit loss, respectively. The 02- Ke and Ke values depend on the cross-sectional flow geometry, o, and Re. Figure 1 gives Ke and Ke for a 1:1 ratio channel [1]. Kays and London [1] give - al - 16 : 10000 similar curves for two other channel geometries (paral- 5000~ Q3 - 3000 lel-plate channel and triangular channel). The entrance - Q4 2000 LAMINAR and exit losses are normally less than 10% of the total as - core loss, so the data of Fig. I will cover most -OB - C situations with adequate accuracy. The differences due to other channel configurations should cause only a -as - second-order effect for most situations. Figure 1 is (9001 02 03 04 05 06 07 08 09 10 based on a uniform velocity entering the heat ex- changer and fully developed flow in the core, and at Figure 1 Entrance and exit loss coefficients for multiple square channels with abrupt contraction entrance and abrupt expansion the exit. This assumption is not valid for interrupted exit. fin surfaces. In this case, Kays and London [1] recommend use of the Re =0. curves to evaluate Kc the densities entering and leaving the core (P1, p2), the and Ke. In this case, all channel configurations have core AP may be calculated using Eq. (1). the same Ko and K. values for Reco. The calculation If the heat exchanger construction contains mani- steps for the core pressure loss requires the informa- folds and flow distributor fins, one must also account tion developed through step 6 of the rating calculation for these losses. These losses may be a significant procedure. After calculation of the Ke, Ke, values and fraction of the total pressure loss. @ 1983 Hemisphere Publishing Corporation HEDH3.9.9 Calculation procedure for a rating problem R. L. Webb for each Fluid stream This section outlines a step-by-step procedure for 7. Calculate a = jG.Com Pr-2/3 or a = Nu k/Dn. the thermal calculations involved in a rating problem. 8. Calculate fin efficiency. With mi = (2a/ Steps 4-9 are required for each fluid stream,_ ko)1/2/ calculated, the fin efficiency (n) is determined 1. Surface geometry parameters: Given B, A,/A, from the appropriate fin efficiency chart or equation. Dn. Calculate y, o, for each stream. 9. Calculate surface efficiency, no = 1 - (1 - 7/) 2. Using the given heat exchanger size, calculate (AffA). C 10. Calculate heat transfer surface areas and deter- the frontal mass velocity (G,) for each stream. Then mine UA. A simpler approach is to. use the given heat calculate Ge using Ge = GAY/o. 3. Estimate e to allow calculation of the average exchanger volume () and calculate UA from For fluid temperature for each stream. This may be based V + on an outright guess, or a preliminary calculation UA no ay/ 2 (1) each following steps 4-12. fled 4. Evaluate fluid properties (Pm, nm, Cpm) at 11. Calculate Cmin/Cmax and NTU = UA/Cmin. stread the estimated average fluid temperature. 12. Using the parameters in step 1 1, determine e 5. Calculate Re = Dn Gem - from the e-NTU chart (or equation) for the given heat 6. Determine f and / (or Nu) from / and f versus exchanger flow arrangement. Re plots for the surface, or from tabled laminar flow 3. Compare calculated e with estimated e. Repeat solutions, where appropriate. steps 4-12 as necessary to obtain desired accuracy.953 APPENDIX 2 TABLE A-15E Properties of air at 1 atm pressure Specific Thermal Thermal Dynamic Kinematic Prandtl Temp. Density Heat Conductivity Diffusivity Viscosity Viscosity Number T, OF p, Ibm/fts c., Btu/Ibm.R k, Btu/h-ft-R c, ft2 /s M, Ibm/ft.s v, ft /s Pr -300 0.24844 0.5072 0.00508 1.119 x 10-5 4.039 x 10-6 1.625 x 10-5 1.4501 -200 0.15276 0.2247 0.00778 6.294 x 10-5 6.772 x 10-6 4.433 x 10-5 0.7042 -100 0.11029 0.2360 0.01037 1.106 x 10-4 9.042 x 10-6 8.197 x 10-5 0.7404 -50 0.09683 0.2389 0.01164 1.397 x 10-4 1.006 x 10-5 1.039 x 10-4 0.7439 0 0.08630 0.2401 0.01288 1.726 x 10-4 1.102 x 10-5 1.278 x 10-4 0.7403 10 0.08446 0.2402 0.01312 1.797 x 10-4 1.121 x 10-5 1.328 x 10-4 0.7391 20 0.08270 0.2403 0.01336 1.868 x 10-4 1.140 x 10-5 1.379 x 10-4 0.7378 30 0.08101 0.2403 0.01361 1.942 x 10-4 1.158 x 10-5 1.430 x 10-4 0.7365 40 0.07939 0.2404 0.01385 2.016 x 10-4 1.176 x 10-5 1.482 x 10-4 0.7350 50 0.07783 0.2404 0.01409 2.092 x 10-4 1.194 x 10-5 1.535 x 10-4 0.7336 60 0.07633 0.2404 0.01433 2.169 x 10-4 1.212 x 10-5 1.588 x 10-4 0.7321 70 0.07489 0.2404 0.01457 2.248 x 10-4 1.230 x 10-5 1.643 x 10-4 0.7306 80 0.07350 0.2404 0.01481 2.328 x 10-4 1.247 x 10-5 1.697 x 10-4 0.7290 90 0.07217 0.2404 0.01505 2.409 x 10-4 1.265 x 10-5 1.753 x 10-4 0.7275 100 0.07088 0.2405 0.01529 2.491 x 10-4 1.281 x 10-5 1.809 x 10-4 0.7260 110 0.06963 0.2405 0.01552 2.575 x 10-4 1.299 x 10-5 1.866 x 10-4 0.7245 120 0.06843 0.2405 0.01576 2.660 x 10-4 1.316 x 10-5 1.923 x 10-4 0.7230 130 0.06727 0.2405 0.01599 2.746 x 10-4 1.332 x 10-5 1.981 x 10-4 0.7216 140 0.06615 0.2406 0.01623 2.833 x 10-4 1.349 x 10-5 2.040 x 10-4 0.7202 150 0.06507 0.2406 0.01646 2.921 x 10-4 1.365 x 10-5 2.099 x 10-4 0.7188 160 0.06402 0.2406 0.01669 3.010 x 10-4 1.382 x 10-5 2.159 x 10-4 0.7174 170 0.06300 0.2407 0.01692 3.100 x 10-4 1.398 x 10-5 2.220 x 10-4 0.7161 180 0.06201 0.2408 0.01715 3.191 x 10-4 1.414 x 10-5 2.281 x 10-4 0.7148 190 0.06106 0.2408 0.01738 3.284 x 10-4 1.430 x 10-5 2.343 x 10-4 0.7136 200 0.06013 0.2409 0.01761 3.377 x 10-4 1.446 x 10-5 2.406 x 10-4 0.7124 250 0.05590 0.2415 0.01874 3.857 x 10-4 1.524 x 10-5 2.727 x 10-4 0.7071 300 0.05222 0.2423 0.01985 4.358 x 10-4 1.599 x 10-5 3.063 x 10-4 0.7028 350 0.04899 0.2433 0.02094 4.879 x 10-4 1.672 x 10-5 3.413 x 10-4 0.6995 400 0.04614 0.2445 0.02200 5.419 x 10-4 1.743 x 10-5 3.777 x 10-4 0.6971 450 0.04361 0.2458 0.02305 5.974 x 10-4 1.812 x 10-5 4.154 x 10-4 0.6953 500 0.04134 0.2472 0.02408 6.546 x 10-4 1.878 x 10-5 4.544 x 10-4 0.6942 600 0.03743 0.2503 0.02608 7.732 x 10-4 2.007 x 10-5 5.361 x 10-4 0.6934 700 0.03421 0.2535 0.02800 8.970 x 10-4 2.129 x 10-5 6.225 x 10-4 0.6940 800 0.03149 0.2568 0.02986 1.025 x 10-3 2.247 x 10-5 7.134 x 10-4 0.6956 900 0.02917 0.2599 0.03164 1.158 x 10-3 2.359 x 10-5 8.087 x 10-4 0.6978 1000 0.02718 0.2630 0.03336 1.296 x 10-3 2.467 x 10-5 9.080 x 10-4 0.7004 1500 0.02024 0.2761 0.04106 2.041 x 10-3 2.957 x 10-5 1.460 x 10-3 0.7158 2000 0.01613 0.2855 0.04752 2.867 x 10-3 3.379 x 10-5 2.095 x 10-3 0.7308 2500 0.01340 0.2922 0.05309 3.765 x 10-3 3.750 x 10-5 2.798 x 10-3 0.7432 3000 0.01147 0.2972 0.05811 4.737 x 10-3 4.082 x 10-5 3.560 x 10-3 0.7516 3500 0.01002 0.3010 0.06293 5.797 x 10-3 4.381 x 10-5 4.373 x 10-3 0.7543 4000 0.00889 0.3040 0.06789 6.975 x 10-3 4.651 x 10-5 5.229 x 10-3 0.7497 Note: For ideal gases, the properties co, k, A, and Pr are independent of pressure. The properties p, i, and a at a pressure (in atm) other than 1 atm are determined by multiplying the values of p at the given temperature by Pand by dividing r and a by P. Source: Data generated from the EES software developed by S. A. Klein and F. L. Alvarado. Original sources: Keenan, Chao, Keyes, Gas Tables, Wiley, 1984; and Thermophysical Properties of Matter, Vol. 3: Thermal Conductivity, Y. S. Touloukian, P. E. Liley, S. C. Saxena, Vol. 11: Viscosity, Y. S. Touloukian, S. C. Saxena, and P. Hestermans, IFV/Plenun, NY, 1970, ISBN 0-306067020-8.1.0 Fin efficiency for plane and circular fins .9 Plane fins m2 = 2h/kt 8 If conv. from tip, L. = L + 1/2 .7 ni 6 .5 .4 .3 0 .2 4 .6 .8 1.0 1.2 1.4 1.6 1.8 2.0 2.2 2.4 m (r - r;) or mL Figure 2.4 Fin efficiency of straight and circular fins, with insulated fin tip.Gas Turbine Recuperator Rating Problem This refers to the recuperator we need for the gas turbine peaking unit at power plant. Another quote has just come in, and it is offered at lower cost than a previous design problem (note: a few previous design operating conditions are listed below, if needed). Your job is to check out the design and determine if it will meet our specified = 0.75 requirement. Also calculate the pressure drop, including entrance and exit losses and flow acceleration. The H-X size is 6.5 ft x 3.0 ft (frontal area of air side) and 6.5 ft x 6.5 ft (frontal area of gas side). The H-X is a cross flow (unmixed) design. The attached figure gives the surface geometry and performance characteristics of the air and gas side surfaces. The parting sheet thickness between the air and gas sides is 0.012 in. All materials are stainless steel (k = 12 btu/hr-ft-F). Neglect the wall resistance in the overall conductance equation, but do use & to calculate the surface efficiency. Evaluate the quality of the design by determining: 1. Follow the calculation procedure outlined in Section 3.9.9 of the Compact Heat Exchangers handout and find the percentage of the thermal resistance on the gas and air sides. Ensure that you are using the average air and gas temperatures to evaluation fluid properties as you iterate for the exit temperatures and the effectiveness of the H- X. Assume that the properties of the gas are well approximated with air properties. Is this a thermally balanced design? Use eq. (1) of the handout to determine this. 2. Therelative pressure losses AP/P for each stream, where here P represents the pressure and not the pumping power. Use the Ke and Ke values given in Fig. | of the Section 3.9.10 Compact Heat Exchanger handout (use the Re = curves for simplicity). In addition, use the ideal gas law with R = 1717 ft?/s?-R to calculate the inlet and exit densities of both streams. (Assume that AP is small enough that you can use the inlet pressures to calculate the exit densities.) Are the pressure drops balanced? What fraction of the total pressure drop is due to entrance/exit losses? 3. Is this H-X a good selection for our application? If not, what design features- would yield a better design? What would the effect be on H-X size and cost? How would it affect "total ownership costs"? 4. Comment on your comparison between the available and the required UA values. New design information: Answers Air Gas y(ft?7/tt) 125.2 | 213.8 0 (A/Ar:) | 0.457 | 0.397 Re 4,595 | 1,173 7 0.57 0.75 1 0.73 0.80 APIP 0.0054 | 0.076 Previous design operating conditions (for comparison to new design, if needed): Turbine Exhaust Compressor Discharge Temperature (F) 805 Pressure (psia) 16.1 Flow rate (lbm/hr) 196,000 193,000 Specific heat (Btu/lbm F) 0.259 0.251 Problem Statement The problem involves evaluating a cross-flow (unmixed) recuperator for a gas turbine peaking unit, with the goal of determining if the design meets an effectiveness of 0.75. The heat exchanger has specified dimensions and uses louvered plate-fin surfaces for the air side and strip-fin surfaces for the gas side. The tasks include calculating thermal resistance, effectiveness, pressure drops, entrance/exit losses, fin lengths, fin efficiency, surface area ratios, and assessing the design's suitability and cost implications. Knowns . Air Side: Frontal area: 6.5 ft x 3.0 ft = 19.5 ft2 - Specific heat: Cp = 0.457 Btu/lbm-OF Prandtl number: Pr = 0.57 Inlet: T = 347 OF, P = 132 psia, m = 193, 000 1bm/hr, p = 0.4380 lbm/ft3 Surface: Louvered plate-fin, Dh = 0.01460 ft, B = 256 ft2 /ft3, fin area fraction = 0.640 . Gas Side: -Frontal area: 6.5 ft x 6.5 ft = 42.25 ft2 Specific heat: Cp = 0.397 Btu/lbm-F Prandtl number: Pr = 0.75 Inlet: T = 805 .F, P = 16.1 psia, m = 196, 000 1bm/hr, p = 0.0316 1bm/ft3 Surface: Strip-fin, Dh = 0.007436 ft, B = 461.0 ft2/ft3, fin area fraction = 0.796 Material: Stainless steel, k = 12 Btu/hr-ft-F, wall resistance neglected . Notes: - Heat transfer coefficient: h = jGccpPr-2/3 Pressure drop: Use formula from "3.9.10.jpg" with A/Ac = (4L) / Dh Gas properties approximate air properties Thermally balanced Assumptions Gas properties are approximated as air properties at average temperatures. . Thermally balanced (Cair ~ Cgas). . Wall thermal resistance is negligible. . Flow lengths: Lair = 3.0 ft, Lgas = 6.5 ft. . Free-flow to frontal area ratio: Fair = 0.5, gas = 0.35.Analysis Fin Length Calculations For the air side, the fin length is determined by solving a triangle with sides 21, 0.25 in, and 0.33/2 = 0.165 in. Assuming a right triangle with legs 0.25 in and 0.165 in: 1 = (0.25)2 + (0.165)2 = 10.0625 + 0.027225 = V0.089725 ~ 0.2995 in = 0.02496 ft For the gas side, the fin length is given as: 1 = 0.237/2 = 0.1185 in = 0.009875 ft Surface Area Ratio (A/Ac) Using A/Ac = (4L) / Dh: Aair / Ac,air = 4 X 3.0 0.01460 ~821.92 4 X 6.5 Agas/ Ac,gas 0.007436 3496.4 Free-Flow Area Assuming Fair = 0.5, gas = 0.35: Ac,air = air X Afr,air = 0.5 x 19.5 = 9.75 ft2 Ac,gas = gas X Afr,gas = 0.35 x 42.25 ~ 14.7875 ft2 Mass Velocity mair = 193, 000 1bm/hr = 193, 000/3600 ~ 53.611 1bm/s mair 53.611 Go,air = ~ 5.498 1bm/s-ft2 Ac,air 9.75 mgas = 196, 000 1bm/hr = 196, 000/3600 ~ 54.444 1bm/s mgas 54.444 Go,gas = Ac,gas 14.7875 ~3.683 1bm/s-ft2 Reynolds Number Using viscosity from air properties at inlet temperatures: Mair (347 .F) ~ 1.66762 x 10- 1bm/ft-s Reair = Go,air X Dh,air 5.498 x 0.01460 1.66762 x 10-5 ~4812 Hair Mgas (805 .F) ~ 2.2526 x 10-5 1bm/ft-s Go,gas X Dh,gas 3.683 X 0.007436 Regas Ugas 2.2526 x 10-5 - ~1215 2Colburn and Friction Factors From surface data for louvered plate-fin (air side) at Re ~ 4812, interpolating: fair ~0.0363, Jair ~0.006 For strip-fin (gas side) at Re ~ 1215, interpolating: fgas ~0.0347, Jgas ~0.006 Heat Transfer Coefficient hair = jair X Go,air X Cp,air X Pair = 0.006 x 5.498 x 0.457 x (0.57)-2/3 ~ 49 Btu/h-ft2-OF hgas = jgas X Gc,gas X Cp,gas X Pgag/3 = 0.006 x 3.683 x 0.397 x (0.75) -2/3 ~ 29 Btu/h-ft?_OF Fin Efficiency Using fin efficiency data, for a rectangular fin: 2h tanh(ml) m = V Ko' nf ml For air side (h ~ 49 Btu/h-ft2-F, k = 12 Btu/hr-ft-F, S = 0.006 in = 0.0005 ft, 1 = 0.02496 ft): 2 x 49 mair V 12 x 0.0005 ~127.7ft-, ml ~ 127.7 x 0.02496 ~ 3.19 tanh(3.19) nf ,air ~ ~0.31 3.19 For gas side (h ~ 29, 8 = 0.0005 ft, l = 0.009875 ft): 2 x 29 mgas V 12 x 0.0005 ~98.3, ml ~98.3 x 0.009875 ~ 0.97 tanh (0.97) f,gas ~ ~0.76 0.97 Surface efficiency: no,air = 1 - (1 - f,air) X 0.640 ~ 0.80 no,gas = 1 - (1 - f,gas) X 0.796 ~ 0.81 Total Heat Transfer Area Core volume: V = Lair X Lgas X H = 3.0 x 6.5 x 6.5 = 126.75 ft3 Aair = Bair X V = 256 x 126.75 ~ 32, 448 ft2 Agas = Bgas X V = 461 x 126.75 ~ 58, 452 ft2 3Thermal Resistance 1 1 UA no,air hair Aair no,gashgas Agas 1 1 no, air hair Aair 0.80 x 49 x 32. 448 ~.86 x 10 h-F/Btu 1 no,gashgas Agas 0.81 x 29 x 58. 452 ~ 7.29 x 10 h-F/Btu UA ~1.515 x 10-6 h-F/Btu, UA ~ 660, 066 Btu/h-F Percentage of thermal resistance: Air side ~ 7.86 x 10-7 1.515 x 10-6 ~ 51.9% Gas side ~ - 7.29 x 10-7 1.515 x 10-6 6 ~48.1% Effectiveness Cair = mairCp,air = 53.611 x 0.457 x 3600 ~ 88, 260 Btu/h-F Cgas = mgas Cp,gas = 54.444 x 0.397 x 3600 ~ 77, 824 Btu/h-OF Cmin = Cgas, Cmin/C'max ~0.882 NTU = UA 660, 066 77, 824 ~8.48 Cmin For cross-flow (unmixed), using -NTU relation: E~ 1 - exp (exp(-NTU . (C'min/C'max) 0:78) - 1 ) ~ 0.78 (Cmin/C'max) 0.22 Pressure Drop Using: AP = $2 [ ( 15 . + 1-07 ) + 2 ( in - 2 ) + 6, (1 -02 -10)], Assuming inlet densities, outlet densities approximated later. For Kc, KefromFigurelatoair = 0.5, gas = 0.35, Re ~ 5000: Kc,air ~0.4, Ke,air ~ 0.3 Kc,gas ~ 0.5, Ke,gas ~ 0.2 Assuming constant density for simplicity: A Pair ~ (5.498)2 x (0.4 + 1 - 0.52 ) + 0.0363 x 821.92 x (1 - 0.52 - 0.3) 1 X 2 0.4380 0.4380 ~0.71 psia APgas ~ (3.683)2 0.0347 X 3496.4 1 2 x (0.5 + 1 - 0.35 2 ) + 0.0316 X (1 - 0.352 - 0.2) X - 0.0316 ~0.12 psia AP/ Pair ~0.0054, AP/ Pgas ~ 0.0075Fig. 10-38. Louvered plate-fin surface 3/8-6.06. Fig. 10-56. Strip-fin plate-fin surface 1/2-11.94(D). _0.055' 100 0838" 500 237 .080 080 060 .060 .050 050 - 0.375- .040 .040 .030 .030 .020 1.020 .015 .015 - BEST INTERPRETATION 010 .008 - BEST INTERPRE .010-at 006 - ( h / Gc p ) N pr LET 005 .006 004 - 1005 No x10-3 (arNG/4) 0.4 :06 0.8 10 5 2.0 3.0 40 6.0 8.0 10 Fin pitch = 6.06 per in. .002 - NR ( +41 , G/#18 10 3 Plate spacing, b = 0.250 in. Louver spacing = 0.375 in. Louver gap = 0.055 in. Fin pitch = 11.94 per in. Fin gap = 0.110 in. Plate spacing, b = 0.237 in. Flow passage hydraulic diameter, 4rx = 0.01460 ft Splitter symmetrically located Fin metal thickness = 0.006 in., aluminum Fin length flow direction = 0.500 in. Total heat transfer area/volume between plates, B = 256 ft2/ft? Flow passage hydraulic diameter, 4rx = 0.007436 ft Fin area/total area = 0.640 Fin metal thickness = 0.006 in., aluminum Splitter metal thickness = 0.006 in. Total heat transfer area/volume between plates, B = 461.0 ft?/ft3 NR NSINp, 213 Fin area (including splitter)/total area = 0. 796- = 0.796 -6.06 NR VSuVp,2/3 10,000 0.00551 0.0331 8,000 0.00593 0.0340 1-11.94(D) 6,000 0.00651 0.0354 5,000 0.00690 0.0363 9,000 0.0122 4,000 0.00738 0.0375 3,000 0.0123 3,000 0.00805 0.0394 7,000 0.00452 0.0126 2,500 0.00849 0.0406 5,000 0.00471 0.0131 ,000 0.00900 0.0426 5,000 0.00492 0.0137 1,500 0.00970 0.0461 4,000 0.00522 0.0146 3.000 1,200 0.0104 0.0496 0.00575 0.0162 2,00 1,000 0.0112 0.0532 0.00682 0.0198 1.500 0.0074+ 0.0231 800 0.0124 0.058 600 0.0144 0.0682 1,200 0.00830 0.0265 1,000 0.0091 1 0.0306 500 0.0160 0.0755 800 0.01045 0.0347 400 500 0.01255 0.0429 300 500 0.01415 0.0493 400 0.0166 0.0592 Air side ~ subscript "a" 300 0.0205 0.0758 200 Gas side ~ _subscript "g'Overview: Rating Problem in Heat Exchangers rating problem involves calculating the thermal performance of a heat exchanger when the design (geometry, material, etc.) and operating conditions (flows, temperatures) are known. Steps 1-9 (Repeat for Each Fluid Stream) These steps must be done separately for both hot and cold fluids. 1. Surface Geometry Parameters . Given geometric values B (fin density or characteristic parameter), . Af/A (fin surface area to total area). . and Dh (hydraulic diameter). . Compute y and o, dimensionless flow area parameters for the geometry. 2. Frontal Mass Velocity (Gf) and Core Mass Velocity (Gc) . Use the frontal area to calculate Gf: GI = A Ge = G 3. Estimate & (Effectiveness Guess) . Initial guess for effectiveness (), based on expected outlet temperatures or from previous calculations. 4. Evaluate Fluid Properties . Estimate at average fluid temperature: o pm: average density um: average dynamic viscosity o cp,m: average specific heat 5. Reynolds Number (Re) . Calculate Re = D.G 6. Determine j and f Factors . Find Colburn j-factor and friction factor f using: . Empirical plots . Tables Correlations Depends on surface type and Reynolds number 7. Calculate Heat Transfer Coefficient (a) Choose one of the methods: . 1 \\alpha = j G_c c_(p.m) Pr^{-2/3} ] . or . # \\alpha = Nu \\cdot \\frack}(D_h) ] 8. Fin Efficiency (nt) . Us ml = (20) 1/2 . Use charts or formulas to find nf. 9. Surface Efficiency (no . Calculate: no = 1 - (1 - nf) (4) Steps 10-13: Overall Heat Exchanger Calculation 10. Determine UA (Overall Heat Transfer Capacity) Using: VA = (TATI ) + (matz ) . V = exchanger volume . 1 and v2: flow area to total volume ratios for hot and cold streams 11. Calculate Capacity Rates and NTU . Minimum and maximum capacity rates: Cmin = mcp,min, Cmax = mcp,max NTU = U 12. Use E-NTU Chart/Equation . Based on: . NTU . Flow arrangement (counterflow, crossflow, etc.) . Find effectiveness (E). 13. Compare Estimated and Calculated . If not close enough, repeat steps 4-12 using the new value of & until convergence. Notes . This is not Al-generated-it's from a recognized heat exchanger design reference (R. L. Webb). . You're missing tables or figures that provide: . Surface-specific j and f factor charts Fin efficiency curves for ml E-NTU chartsLet me explain what each column means, and how this data is typically used in engineering problems involving heat transfer and fluid flow: . Column Breakdown: Column Description T (OF ) Temperature p (Ibm/ft3) Density cp (Btu/lbm.'R) Specific Heat at Constant Pressure k (Btu/h.ft. R) Thermal Conductivity a (ft2/s) Thermal Diffusivity = k / (p.cp) H (Ibm/ft's) Dynamic Viscosity v (ft2/s) Kinematic Viscosity = H / F Pr (-) Prandtl Number = v / a . How to Use This Table: This table is crucial for fluid dynamics and heat transfer problems. Here's how: 1. Reynolds Number (Re): Re _ DA.VA.L _ VA.L 2. Nusselt Number (Nu) and Prandtl Number (Pr): Use Pr to calculate Nu in empirical correlations: Nu = C . Rem . Pr 3. Thermal Analysis: Use cp and k in conduction/convection equations like: q= -k . A . d or q = h . A . AT 4. Buoyancy & Natural Convection: Use a and v in Rayleigh and Grashof numbers. . Note at the Bottom of the Table: For ideal gases, cp, u, and Pr are independent of pressure. This means if you change the pressure, density (p) and derived properties like a and v change, but not cp, u, and Pr - helpful for scaling calculations to different conditions.1. What This Table Is You uploaded Table A-15E: Properties of Air at 1 atm pressure this is a standard thermodynamic table found in books like Fundamentals of Engineering Thermodynamics or Cengel's Heat Transfer, listing physical properties of air at different temperatures. 1 Common Use: It's used when solving problems in * Heat exchangers * Fluid flow * Thermal insulation * Natural or forced convection 2. Common Student Problem Types Using This Table If you were given a problem (especially an Al-generated or textbook-style one), it probably asked you to: Example Types of Questions: Q1: Use air properties at a specific temperature (say 100F) to find the Reynolds number. * Requires: p, 1, Vv Q2: Compute heat transfer rate using convective heat transfer formula: q=h-A-AT Q3: Use thermal diffusivity to determine temperature change over time in unsteady-state heat conduction. 3. What's Cut Off in the Table? From the image, the temperature goes up to 4000F, but most practical use is between -100F and 200F. The part cut off likely includes: * More rows at high temperatures (600F to 4000F) * Continuation of property values like viscosity and conductivity at those extremes You likely don't need these values unless the problem is in combustion or high-temp turbine flows. 2? Do You Want Help with a Specific Problem? Since you're saying "looks Al-generated", maybe this is a generic practice problem. If so, feel free to paste it here or upload it again. I'll help you: * Identify which propties you need from the table * Show how to interpolate if needed * Walk through the equations step by step Summary: You Said Here's What That \"Tables were cut off" Only part of thet visible; high-temy might be missing Usually not a pro unless it's a com or turbine questi \"Looks Al-generated" Probably a gener question asking ) use air properties Common for engineering prac software-generat assignments. \"Need more can walk you th explanation' using this table t any related thermodynamics transfer problem send the full prot statement. . What Are We Trying to Find? We want to find the maximum force P that you can apply to the handle DAB (the L-shaped handle in the image), without stretching rod BC more than 4.7 mm. s@ Step 1: Understand What's Limiting the Force Rod BC is made of steel (A-36), and it can stretch, but only up to 4.7 mm any more and it's too much That means the force we apply must be small enough so that rod BC stretches 4000). Turbulent flow improves heat transfer Formula: Re = GD Using: . G: mass velocity . Dn: hydraulic diameter . /: dynamic viscosity . Air Reair = 109: 201" ~ 4812 - Turbulent flow . Gas: Regas = Sept,0 007436 1215 - Laminar flow Key Takeaways: Parameter Air Side Gas S Fin Length Longer (~0.025 ft) Short Area Ratio 821.92 3496. Free-Flow Area 9.75 f12 14.79 Mass Velocity 5.498 3.683 Reynolds # 4812 (turbulent) 1215 Main Equation for Pressure Drop (Eq. 1) Where: AP: Pressure drop across the heat exchanger * G: Mass velocity (mass flow rate per unit area), kg/m?-s * 0: Flow area ratio = Agyt/ A; * 1, P2: Densities at inlet and outlet, respectively * Pm: Mean density f: Friction factor (dimensionless) A: Flow length through the core A.: Minimum flow area (free flow area) Ke: Entrance loss coefficient K.: Exit loss coefficient Explanation of Each Term: 1. Entrance Loss (K-) This accounts for the energy loss due to fluid entering the core from a plenum or manifold. It's dependent on the geometry of the inlet. 2. Exit Loss (K.) Similar to Ke, but applies at the outlet, where fluid leaves the core. 3. Acceleration Loss (term involving c\") Accounts for energy changes due to acceleration or deceleration as flow cross-sectional area changes. 4. Friction Loss This is the main pressure drop due to wall shear (viscous effects). It uses: fA Pm Ac Figure 1 (Graph) The graph shows typical values of Ke and K, versus flow area ratio 7, for square channels with abrupt contractions (entrance) and expansions (exit). It also distinguishes between laminar and turbulent flow based on Reynolds number. Important Notes: Assumption of uniform velocity: Equation assumes a uniform velocity entering the core and fully developed flow, which is not valid for interrupted fins (like offset-strip or louvered fins). Kays and London method: In practice, use their curves for K., Ke, and f based on geometry and Reynolds number. Header/manifold effects: Not included in Eq. (1), but can be a significant source of pressure loss if present. Full Breakdown of Pressure Drop Equation The equation provided is: apa? [Meee aa(s-2 s Terms in the Equation: Symbol Desc! AP Pressure drop (Pa) G Mass velocity (kg/m?-s) G=# K. Entrance loss | coefficient K Exit loss coefficient o Area ratio = f Friction factor (depends on Reynolds number) A Flow length through core (m) Ac Minimum flow area (m2) Pi, P2, Pm | Densities at inlet, outlet, and average (kg/m?) * Missing Graph/Table (Figure 1 The cut-off chart provides: * Values of Ki (entrance loss coefficient) * Values of K (exit loss coefficient) * As a function of area ratio (for square channels with abrupt contraction/ expansion) * Separate curves for laminar and turbulent flow Since it's cut off, here's a typical approximation for K. and K. based on empirical data: = Agu/Ain | Ke (approx.) | K- (approx 1.0 ~0.5 ~1.0 08 ~0.6 \"1.2 0.6 ~0.8 [nna 04 \"12 \"18 Note: These are approximate. For exact work, you'd use the actual chart or data from Kays and London (1984). Physical Meaning of Terms + K., K: Represent minor losses at entry and exit of the flow passages due to flow contraction/expansion * Friction term: The biggest contributor for long passages, based on flow resistance inside the fins or channels. * Acceleration term (1 a\"): Comes from Bernoulli effects if area changes significantly, flow speeds up/down, which alters pressure. + Density correction: Accounts for compressibility, or difference in density at inlet and outlet (important for gases or large temperature changes). '., How to Use This in a Problem You'd need: 1, Geometry: To get A, Ac, 7 2. Flow rate and fluid properties: For G, p1, pt 3. Empirical charts or correlations: f from Moody chart or Nusselt data Ke, Ke from charts (or use approximate values) Then plug into the formula to get AP. Al-Generated Problem? How to Approach Even if this was Al-generated or textbook-style, it's still based on real engineering practice. In fact: * The equation is from R.L. Webb, a recognized expert in compact heat exchangers. * This exact form is used in industry (especially HVAC al automotive applications). So yes, it's valid even if it came from an Al source or textbook as long as the geometry and assumptions match (uniform flow, developed in core, no manifold effects unless accounted for) x Final Summary * Use the equation only if flow is fully developed and uniform in the exchanger core. * Get Ke, Ko, and f from charts like Kays & London or use empirical approximations. + If manifolds or headers are involved, they cause extra losses not included in this equation you'll need to add those separately. What This Chart Shows This figure shows fin efficiency "7 for straight and circular fins with an insulated tip, based on the parameter mL or m(rr 7 where: * ng: Fin efficiency (how effective the fin is at conducting heat compared to an ideal isothermal fin) + m: Defined as m? = 24, a thermal parameter that relates to heat transfer rate + L: Fin length (for straight fins), or ro for circular fins x Formula Breakdown The parameter m is derived from: + h= convective heat transfer coefficient (W/m?-K) + k= thermal conductivity of the fin material (W/mK) + t= thickness of the fin (m) \\\\ Using the Chart The x-axis + For plane fins (straight rectangular): use mL * For circular fins (annular/disc-shaped): use m(r, ri) The curves: * Each curve corresponds to a different ratio (outer radius over inner radius) * Higher ratios mean a more extended circular fin The y-axis: + Fin efficiency 1 : fraction of maximum possible heat that is actually transferred by the fin What the Chart Tells You * Higher values of mL or m(r, rj lower efficiency. This means longer fins (or with high convection) lose effectiveness. + Higher 7, /r (:e., wider fins) also reduce efficiency. * Thinner or longer fi worse if heat cannot conduct efficiently through them. 1S may actually be 2 Tip Correction for Real Cases In the corner note: If convection from tip, Le = L + This is for calculating corrected length when the tip of the fin is not insulated but instead convects heat use this adjusted length for more accurate mL values. @ Example Use Cas 'Suppose you're given: * Fin type: Circular fin (disc) or, 0.03, m, r; = 0.01,m + t= 0.002,m *h = 100 , \\text{W/m?-K} +k = 200 , \\text{W/m-K} Step 1 m = 4/38 = / spits = V500 ~ 22.36 Step 2: im(re~ r)) = 22.86- (0.08 - 0.01) = 22.36 0.02 = 0.447 Step 3: * Use the curve with "2 = * Atm(ro 7;) = 0.447, look up the corresponding 7 from the chart Estimate from graph: ~0.64 bel Summary Term Meaning V3 Fin parameter (depends on material and convection) mL, m(ro X-axis of chart; determines effectiveness ny Fin efficiency; use this to modify total heat transfer from extended surface = Needed to select the right curve for circular fins . What's in the Chart: Figure 2.4 - Fin Efficiency (1) This chart shows how effective a fin is at transferring heat, depending on: * Fin geometry (straight or circular) + Material properties and convection rate * The ratio of fin dimensions 1. (Y What is Fin Efficiency 1? Fin efficiency is defined as: * ny = 1: Ideal fin (not realistic) * Lower ny: Less efficient due to temperature drop along the fin 2. (WY Chart Axes + X-axis: mL for plane (straight) fins or m(r. ri) for circular (annular disk) fins Ya Fin efficiency 7 (ranging from 1.0 to ~0.3) 3. (J What is and how do | get it? From the box in the chart 223 me mah = Where: + h: Convective heat transfer coefficient + k: Thermal conductivity of fin material + t: Thickness of the fin (normal to heat flow direction) So, you need: * Material data (e.g., for aluminum or copper) * Flow condition (for) 4. (7 How to Read the Curves The curves are labeled by 7/7: ~ the outer-to-inner radius ratio of the circular fins: Curve Geometry to/j = 1.00 Very thin ring 9/7; = 1.25 t0 3.00 | Thicker annular fins (larger area differenc * Each curve shows how efficiency drops as the fin gets longer or more convective. * For straight fins (no circular geometry), you can use the top curve as a good approximation. 5. (J Example Use Case (Step-by-Step) Let's say you have: * Circular fin with rj = 10mm, rp = 20 mm + Aluminum fin: k = 205 \\text{ W/m-K} * Thickness t = 2mm. *Convectionh = 100 \\text{ W/m? -K} Step 1: m= [8 = /geity ~ VIBTS ~ 22.08 'Step 2: (ro ri) = 22.08 - (0.02 ~ 0.01) = 0.2208 Step 3: * Find the curve for ro/ri = 2.0 * Atx = 0.22, from the graph, approximate ay ~ 0.88 \"If convection from tip, Le = L + * * This means if the fin is not insulated at the tip, you increase the effective length to account for heat loss at the tip. + Le is then used in calculating mL or m(ro ri) _ Summary Table (Approximate Values) Here's a reconstructed table based on the _ fa [oe 4 'Similar tables can be created for other To/ri values. \\|s This Al-Generated? Even if your problem is Al-generated, this data is from validated engineering literature. This exact chart is from Incropera & DeWitt's "Fundamentals of Heat and Mass Transfer' or similar references. Thermal Resistance & UA Calculation Equation Used: UA = mohA = Thaithais Aair + To.sashgas Agns Where: . no: Overall surface efficiency . h: Convection heat transfer coefficient . A: Heat transfer are . U A: Overall heat conductance (higher is better) Breakdown: . Air side: 0.80-49-32.448 = 7.86 x 10 7 h-A F/Bt 0.81-29-58.452 = 7.29 x 10-7 h-A F/Btu UA = 1.515 x 10- = UA ~ 660, 066 Btu/h-A F Thermal Resistance % Breakdown . Air 1.515x 10 8 ~ 51.9% 1.315 x 10 6 ~ 48.1% This helps determine whether you need to improve air or gas side performance. Effectiveness () Calculation Step 1: Heat capacity rates . Air Cair = in . co = 53.611 . 0.457 - 3600 ~ 88, 260 Btu/h-A F Cgas = 54.444 . 0.397 . 3600 ~ 77, 824 Btu/h-A F Step 2: NTU Cmin = gas, min = 1824~ NTU = \\frac(UAHC_(\\min}} = \\frac(660,066) (77,824} \\approx 8.48 ] Step 3: Effectiveness Equation For cross-flow, both fluids unmixed el - exp MU-Cmin Charm ~ 0.78 Pressure Drop Calculation General Equation (Webb): AP = $ (K-+1-07 ) +2 ( 4 - 1 ) + 6#5 (1-02 -K.).4] They simplify using: . G = mass flux . o = flow area ratio . Ke, Ke from Figure 1 (cut off in earlier image, but approximated here) . Densities assumed constant Air Side Example: . G = 5.498 . o = 0.5, Kc = 0.4, Ke = 0.3 . f = 0.0363, L = 821.92, Dh = 0.4380 . p = 0.4380 AP. t TE [(0.4 + 1 - 0.57) + 207017 32 . (1-0.57 -0.3) . walks] = 0.71 psin Gas Side Example: . G = 3.683 . o = 0.35, Kc = 0.5, Ke = 0.2 . f = 0.0347, L = 3496.4, DR = 0.0316 . p = 0.0316 APP = 12452 [(0.5 + 1 -0.357) + "1675 . (1 -0.357 -0.2) . anais] = 0.12 pain Final: AP/ Pair ~ 0.0054, AP/ Pgas ~ 0.0075 Missing Table Content Although Figure 1 is cut off, typical values used in practice: . Kc ~ 0.4 (air), 0.5 (gas) . Ke ~ 0.3 (air), 0.2 (gas) These were inserted reasonably in the equations, matching the chart in your earlier image. PART 1: Thermal Resistance & UA Calculation The goal is to calculate the overall heat transfer coefficient-area product UA: Values used: . no: fin efficiency (~0.80 for air, ~0.81 for gas, likely based on Fig. 2.4 you posted) . h: convection heat transfer coefficients (49 for air, 29 for gas) . A: surface area (32,448 for air, 58,452 for gas) Results: . Air side resistance: ~ 7.86 x 10-' . Gas side resistance: ~ 7.29 x 10-7 . Total: DA ~ 1.515 x 10-6 = UA ~ 660, 066 This is valid and follows heat exchanger theory. . PART 2: Effectiveness Calculation Step 1: Heat capacity rates C = m . Cp Used . Mass flow rates mair = 53.611, mgas = 54.444 . Specific heats Cp : 0.457 for air, 0.397 for gas Time factor: 3600 converts from Btu/sec to Gives . Cair ~88, 260 . Cgas ~ 77, 824 . Cmin = Cgas, Cmin/Cmax ~ 0.882 Step 2: NTU NTU = 77824 ~ 8.48 Step 3: Effectiveness (crossflow, unmixed): E~ 1 - exp -NTU.(Cmin/Cash ~ 0.78 Standard NTU-E method. All steps are by the book. . PART 3: Pressure Drop Calculation The general formula is from compact heat exchanger analysis (R.L. Webb style): AP = 7 Ke+1-o' + b.(1 -o' - Ke) . Missing Data (from cut-off Figure 1): The values of: . Ke: entrance loss coefficient . Ke : exit loss coefficient Normally depend on geometry. For square channels and abrupt contraction/expansion: . Kc ~ 0.4 - 0 . Ke ~0.2 - 0.3 These values were assumed reasonably based on such data: . Air: Ke = 0.4, Ke = 0.3 . Gas: Kc = 0.5, Ke = 0.: Example Calculation: Air APa - By [04 + 1-0.57 4 20515 . (1 -0.25 -0.3) - adv] = 0.71 pain AP/P ~ 0.005 . Summary Section Is It Real? Com Thermal resistance & Yes From UA exch meth Effectiveness () V Yes Stan meth Pressure Drop Yes Follc exch Missing Table I Cut off Figu area from Final Thoughts . Yes, the problem could have been Al-generated or modeled for educational clarity. . But the physics and math are solid and sourced from real design manuals. If you're doing a project or assignment and need raw table data or help replicating it in Excel or MATLAB, I can egenerate Figure 1 or provide an nteractive model for it.* Overview You're evaluating a recuperator for a gas turbine peaking unit, using a cross-flow (unmixed) heat exchanger configuration, The main goals: 1. Evaluate thermal performance (UA, , ete.) 2. Determine pressure drops 3. Decide design quality (UA, size, losses) 4. Compare to **previous A\\ Task 1: Thermal Resistance & Effectiveness You'e told to: \"Find the percentage of thermal resistance on the gas and air sides... use k to calculate surface efficiency 1\" You already have the data you need (from the earlier slide), where this was done: Previously Done: Side Resistance Contribution Based on Air | ~51.9% = 080, b Gas | ~48.1% And you computed: + UA ~ 660, 066 Btu/h-AF + = 0.78 using NTU-e method So, for design acceptance: V Meets requirement 0.75 A\\ Task 2: PresMure Drop & AP/ P The problem wants you to compute * AP/jfor + Use: ir and gas Friction and geometry losses: Ke, Ke Core flow loss from f -4L/Dy * Use ideal gas law: o> er (Y Previously Don: Stream AP/]) AP (psi Air | 0.0084 | ~0.71 Gas | 0.0075 | ~0. Observations: + Air has higher AP due to higher velocity and friction + Loss coefficients were assumed K, ~ 04-05 K, 0.2-0.3 'To confirm: You'd normally get these from a table, but they're standard values for sudden expansion/contraction and rectangular ducts. A\\ Task 3: Design Suitability You're being asked: Is this HX a good selection? If not, what changes would improve it? Judging by Results: + Effectiveness: = 0.78 [J (V meets goal) + AP/P: Both below 0.01% (V low pumping loss) + Thermal resistance is well balanced (51.9% vs 48.1%) You could suggest improvements: * Larger surface area further increases UA + Smoother transitions ~ reduces K., K., improves pressure loss * Different fin pitch -- changes heat transfer/pressure drop tradeoff + Alternate materials. changes cost vs. performance '\\, Task 4: Compare to Previous Design Previous design conditions (see table at bottom): Temp ('F) _| 805 | a7 Pressure (psa) | 16.1 [rae Density (Ib/ft?) | 0.0736 0.25 Cp (Btu/to \"F) | 0.320 [02s You could recalculate UA, , and pressure drop for the previous design and compare them: Likely Outcome: + New design is more compact, efficient ( 0.78 vs), and slightly more costly (based on narrative). + But: Pressure drops and effectiveness meet targets, so it may be a better \"total ownership" value. Final Takeaways T | Missing Table Impac Figure 1 cut off Surface efficiency ne | Normally derived fro charts If you nee + A recreated Figure 1 (loss coefficient vs. geometry) + MATLAB or Excel templates + Help recalculating UA/e for previous design What You're Being Asked To Do (in Simple Terms) (recuperator) for a gas turbine that re (revoperator) for a gas turbine that recovers to the compressed air before combustion - Increasing thermal efficiency. You're supposed to: Step Task Evaluate thermal performance resistance , UA) losses canassure Judge if it's a good Compare to a previous What's Already Given (From the Earlier Page)" You're already given results for: Quantity Air Side 0.80 49 Area (ft?) 32,448 7.86 x 10-7 Total thermal resistance 1.515 x 10-6 UA * 660.066 Btu/h Effectiveness 2 0.78 V (target 0.75) NTU 8.48 AP_air - 0.71 psia AP_gas - 0.12 psia AP/P values 0.0054 (air), 0.00 (0as) What's Missing (and How We Handle It) The missing table (likely Figure 1 from handout) should provide Parameter Description Loss coefficient at core Loss coefficient at core exit Friction factor a = Ay/ Afrental Flow area ratio approximations found in compact exchanger design books like Kays & London Step-by-Step Explanation of the Calculations Effertformal Resistance and You use; This gives the overall conductance of the . From UA and Cmoin, you calculate: NTU - UA, e using NTU-e relation The effectiveness relation (crossflow. unmixed) is: 6 R 1 - exp OR-MUC -(671- 2 Pressure Drop Using: You assume: *P1 2 pz (small AP) rose air/gas flow rates and densities Known values for o, K. . K.. f And simplify this to: 3 Design Suitability You evaluate: . v is effectiveness good? (yes. = = 0.78 > 0.75) Is pressure loss acceptable? (AP/P required 0.75 . UA = 660,066 Btu/hr-'F (good) . Pressure losses (sometimes used) 7. Convective heat transfer coefficient a: Two methods: > a = JGeepmPr > Or, use: Nwk aS Dk 8. Fin efficiency (n_f): Use this equation: ml = (20/(k65))"? 9. Surface efficiency 70: mo = 1 (L 1) (Ay/A) =) Steps 10-13: Combine results and iterate 10. Calculate UA (heat transfer coefficient x area): Using: Wf 1 i tale), ae) QUA = \\alpha A_sO if DA_sO is known. 11. Minimum and maximum heat capacity rates: Cin Cmax, NTU = 12. Determine effectiveness e: Use -NTU charts or equations depending on heat exchanger type. 13. Compare estimated to calculated e: If not close, repeat steps 4-12 with updated estimates. What Is This Rating Procedure About? This is a thermal rating procedure from R.L. Webb's heat transfer textbook, meant for analyzing a compact heat exchange finned-tube or plate-fin type). are now well a given exchanger performs - i.e., how much heat it can transfer under known conditions This is not a design problem (where you're creating an exchanger to meet instead, you're analyzing performance of an existing one. $ The Steps - Fully Explained: Steps 1-3: Initial Data Prep 1. Geometry Parameters . B: Angle of fins . Af/ A: Fin area to total area * DA: Hydraulic diameter . Calculate: . y = ratio of minimum flow area to frontal area (for pressure drop) .

Step by Step Solution

There are 3 Steps involved in it

1 Expert Approved Answer
Step: 1 Unlock blur-text-image
Question Has Been Solved by an Expert!

Get step-by-step solutions from verified subject matter experts

Step: 2 Unlock
Step: 3 Unlock

Students Have Also Explored These Related Accounting Questions!