Question: f2B. Construct a molecular orbital diagram for HxCF Use these guidelines. i) Check if any atoms need to be hybridized. (12 pts) ii) Construct the

\f2B. Construct a molecular orbital diagram for\f2B. Construct a molecular orbital diagram for\f2B. Construct a molecular orbital diagram for\f2B. Construct a molecular orbital diagram for\f2B. Construct a molecular orbital diagram for\f2B. Construct a molecular orbital diagram for\f2B. Construct a molecular orbital diagram for\f2B. Construct a molecular orbital diagram for\f2B. Construct a molecular orbital diagram for\f2B. Construct a molecular orbital diagram for\f2B. Construct a molecular orbital diagram for\f2B. Construct a molecular orbital diagram for\f2B. Construct a molecular orbital diagram for\f2B. Construct a molecular orbital diagram for\f2B. Construct a molecular orbital diagram for\f2B. Construct a molecular orbital diagram for
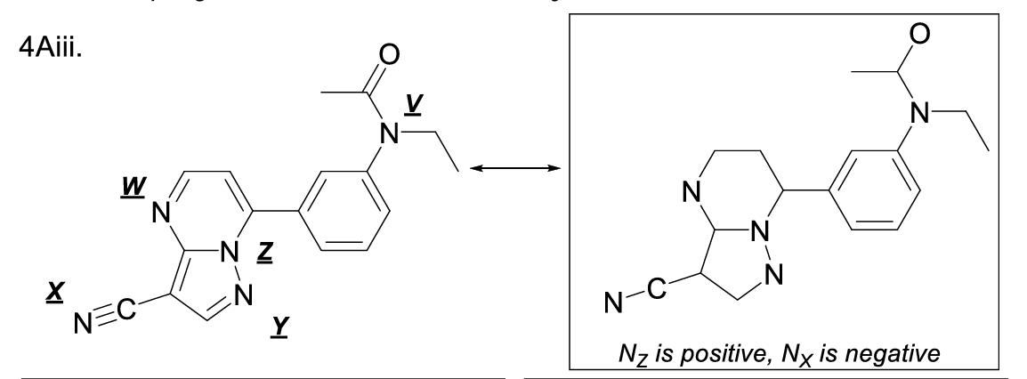
\f2B. Construct a molecular orbital diagram for HxCF Use these guidelines. i) Check if any atoms need to be hybridized. (12 pts) ii) Construct the MO diagram by mixing atomic orbitals to form the same number of new molecular orbitals. Use your knowledge of energy levels and electronegativity to determine relative atomic orbital energy levels. Label the AOs. iii) Label all of the MO levels (for example: oCH, OO, n*FCl, n.b. S(sp%), etc.). iv) Add all valence electrons to the newly formed MOs. v) Label the Highest Occupied (HOMO) and Lowest Unoccupied (LUMO) MOs. 2H and F 2C.Goal: Draw a resonance contributor of H2CF with filled octets. i) Redraw the Lewis Structure from 2A, then add curved arrows. (3 pts) ii) Draw the result in the box to the right with formal charges. (3 pts) iii) Which contributor is more important? (3 pts) Oist 2Cili. The and contributor is more important. 2Ci. Redraw H2CF and 2Cii. Res contribwith3. Let's analyze relative acid/base properties of the molecule below. (SN OH Bo Z NAH Vadadustat, kidney medication A OO O H Based on each of the categories below, which of the H atoms is MOST ACIDIC? 3A Based on the Formal Charge, which atom is most acidic? Based on the electronegativity 3B. of the atom donating H+, which OA OB O same atom is most acidic? OA OB O same "Ha" as acid: 3C. Catalog the number, distance, and identity of nearby EN atoms. Look at EN atoms that are either 2, 3, or 4 bonds away from the "Hp" as acid: acidic hydrogen in question. 3D Based on the Inductive Effect, which atom is most acidic? OA OB O same 3E. Draw two more filled octet resonance contributors. Each box has the directions for the necessary transformations. (8 pts) . Oi: O filled octets Contributor is more important because O charges match EN O minimized distance of charges 3G. Fill in the missing information in the statements below. (4 pts) a negative charge on the N in the ring? is more basic? ON(ring) ON(Hb) How many filled octet contributors put | | Based on resonance, which nitrogen Add curved arrows Fill in missing pi bonds and charges 4Ai. O O V N- N W N N N Z N X N N NEC N-C Y Ny is positive, O is negative\f\fSA. Goal: Predict the two possible cyclic constitutional isomers where the amine acts as the nucleophile and the product has a negative oxygen atom. (18 pts total) SAi. Show curved arrows leading to each isomer. SAii. Draw the appropriate cyclic isomers in the labeled boxes. DAiii. Fill in the specific empty orbital directly interacting with the nucleophile 5Aiv. Fill in the bubble consistent with the product resulting from the LUMO getting attacked by the nitrogen atom. specific empty orbital interacting with nuc HoN | o this orbital is the LUMO smaller ring is formed add curved arrows specific empty orbital interacting with nuc t C4] HoN | | this orbital is the LUMO larger ring is formed add curved arrows 5Bi. Add the hydrogen atoms on the indicated bond with wedges/dashes. 5Bii. Finish the Newman Projection along the indicated bond. 5Bili. Is the indicated bond staggered or eclipsed? (7 pts total) O O H2N Add H atoms to indicated bond O staggered Finish Newman Projection O eclipsed6B. Draw the product of the arrows below by completing the stencil. (5 pts) O O O O add missing 2 bonds and O 2 OH OH O charges OH OH6C. For the indicated arrows, add the pictures and labels of the orbitals that interact. (16 pts total) 6Ci. filled orbital O O O 1 HO 2 OO O empty orbital OH HO O OH pictures of relevant orbitals with appropriate shading 6Cii. filled orbital O OO O O 1 O HO OO 2 O T empty orbital HO OH O OH pictures of relevant orbitals with appropriate shading\f7B. Catalogue the substituent-substituent steric interactions in the Chair and Chair-Flip conformaitons. Specify the type of interaction and the groups involved (ie. gauche Me(2)Me(3)). (4 pts) Sub-Sub interactions: Chair Sub-Sub interactions: Chair-Flip7C. Solely based on the number of axial versus equatorial O chair groups in the above chair conformations, which one O chair-flip should be favored? (2 pts) O neither O chair 7D. Solely based on the number of sub-sub gauche O chair-flip interactions, which one should be favored? (2 pts) O neither O chair 7E. Solely based on the number of sub-sub diaxial interactions, which one should be favored? (2 pts) O chair-flip O neither

Step by Step Solution

There are 3 Steps involved in it

1 Expert Approved Answer
Step: 1 Unlock blur-text-image
Question Has Been Solved by an Expert!

Get step-by-step solutions from verified subject matter experts

Step: 2 Unlock
Step: 3 Unlock

Students Have Also Explored These Related Accounting Questions!