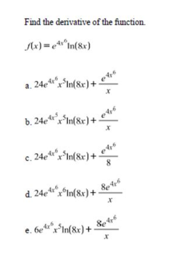
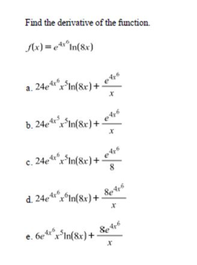
Question: Find the derivative of the function. Ax) = e In(8x) a. 24ex-In(8x) + e4x6 x b. 24ex In(&x) + e4+6 X c. 24ex-In(8x) + -

Step by Step Solution
There are 3 Steps involved in it
Get step-by-step solutions from verified subject matter experts
