Question: A horizontal turntable rotates with angular speed . There is a clock at the center of the turntable and one at a distance r from
A horizontal turntable rotates with angular speed ω. There is a clock at the center of the turntable and one at a distance r from the center. In an inertial reference frame, the clock at distance r is moving with speed u = rω.
(a) Show that from time dilation according to special relativity, time intervals Δt0 for the clock at rest and Δtr for the moving clock are related by
.png)
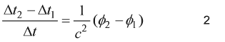
(b) In a reference frame rotating with the table, both clocks are at rest. Show that the clock at distance r experiences a pseudoforce Fr = mrω2 in this accelerated frame and that this is equivalent to a difference in gravitational potential between r and the origin of фr -ф0 = ½r2ω2. Use this potential difference in Equation 2 to show that in this frame the difference in time intervals is the same as in the inertial frame.

At2 - A At - ($2 4) 2.
Step by Step Solution
3.44 Rating (170 Votes )
There are 3 Steps involved in it
a ... View full answer
Get step-by-step solutions from verified subject matter experts
Document Format (1 attachment)
10-P-MP-R (485).docx
120 KBs Word File
