Question: A square loop of side ? lies in the yz plane with its center at the origin. It carries a current I. Find the magnetic
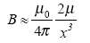
A square loop of side ? lies in the yz plane with its center at the origin. It carries a current I. Find the magnetic field B at any point on the x axis and show from your expression that for x much larger than ?,
![]()
Where ? = I?2 is the magnetic moment of the loop.
2 Bx 4
Step by Step Solution
3.42 Rating (165 Votes )
There are 3 Steps involved in it
From the symmetry of the system it is evident that the ... View full answer
Get step-by-step solutions from verified subject matter experts
Document Format (1 attachment)
10-P-E-M-F (930).docx
120 KBs Word File
