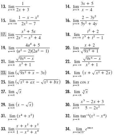
Question: Find the limit. 1 13. lim - 2x + 3 3x + 5 14. lim 1- x-x 2 - 3y 5y? + 4y * +2
1 13. lim - 2x + 3 3x + 5 14. lim 1- x-x 2 - 3y 5y? + 4y * +2 15. lim --* 21 - 7 16. lim x' + 5x 17. lim- 1 2x - x? + 4 18. lim 4u + 5 19. lim (u? - 2)(2u? - 1) 20. lim * 9x + 1T 9x - x 21. lim- 22. lim X 9X6 24. lim (x + x + 2x) 23. lim (9x2 + x- 3x) 25. lim (Vx + ax- V+ bx) 26. lim cos x 27. lim a 28. lim V x' - 2x + 3 30. lim 5 - 2x 29. lim (x- V) 31. lim (x + x*) 32. lim tan-(x - x*) r +x' +x' 33. lim 34. lim (w/2) ,tan x 1- x +x*
Step by Step Solution
3.30 Rating (168 Votes )
There are 3 Steps involved in it
1 2x2x3 13 lim 1x z 2x3x lim lim 1x lim 23x 118 lim 12 H18 lim 23 lim 12 818 0 2 30 11 NIO 11 3x 5 3x 5x lim x x 4 xx x4x 14 lim 15 lim 1 x x 2x 7 11 ... View full answer
Get step-by-step solutions from verified subject matter experts
Document Format (1 attachment)
M-C-L-D (139).docx
120 KBs Word File
