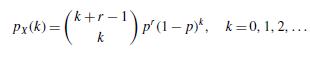
Question: Let the random variable X denote the number of trials in excess of r that are required to achieve the rth success in a series
Let the random variable X denote the number of trials in excess of r that are required to achieve the rth success in a series of independent trials, where p is the probability of success at any given trial. Show that

py(k) = p (p k0,1,2,..
Step by Step Solution
3.30 Rating (176 Votes )
There are 3 Steps involved in it
Let Y denote the number of trials to get the rt... View full answer
Get step-by-step solutions from verified subject matter experts
Document Format (1 attachment)
681-M-C-M-S (762).docx
120 KBs Word File
