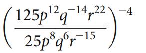
Question: Simplify. 125p2q-1422 25p8q6r-15 -4
Simplify.

125p2q-1422 25p8q6r-15 -4
Step by Step Solution
3.41 Rating (160 Votes )
There are 3 Steps involved in it
121422 r 125p ... View full answer
Get step-by-step solutions from verified subject matter experts
