Question: If two random variables are statistically independent, the coefficient of correlation between the two is zero. But the converse is not necessarily true; that is,
For a general discussion of the properties of the maximum likelihood estimators as well as for the distinction between asymptotic unbiasedness and consistency. Roughly speaking, in asymptotic unbiasedness we try to find out the lim E (ÏÌn2 ) as n tends to infinity, where n is the sample size on which the estimator is based, whereas in consistency we try to find out how ÏÌn2 behaves as n increases indefinitely. Notice that the unbiasedness property is a repeated sampling property of an estimator based on a sample of given size, whereas in consistency we are concerned with the behavior of an estimator as the sample size increases indefinitely.
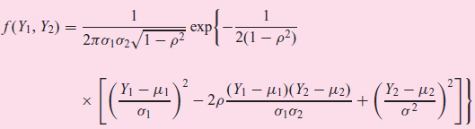
where μ1 = mean of Y1
μ2 = mean of Y2
Ï1 = standard deviation of Y1
Ï2 = standard deviation of Y2
Ï = coefficient of correlation between Y1 and Y2
F(Y1, Y2) = exp 2(1 p2) : ? 22 ( i- )(%- ) - 2- -
Step by Step Solution
3.44 Rating (173 Votes )
There are 3 Steps involved in it
Given that the coefficient of correlation between Y 1 and Y 2 is zer... View full answer
Get step-by-step solutions from verified subject matter experts
Document Format (2 attachments)
1529_605d88e1cc269_656179.pdf
180 KBs PDF File
1529_605d88e1cc269_656179.docx
120 KBs Word File
