Question: For the following exercises, determine where the given function f(x) is continuous. Where it is not continuous, state which conditions fail, and classify any discontinuities.
For the following exercises, determine where the given function f(x) is continuous. Where it is not continuous, state which conditions fail, and classify any discontinuities.

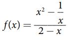
1 x f(x)=2x x
Step by Step Solution
3.40 Rating (175 Votes )
There are 3 Steps involved in it
Definition of Continuity A function f x is continuous at x a pr... View full answer
Get step-by-step solutions from verified subject matter experts
