Question: Let a. Find a basis {u 1 , u 2 , u 3 } for R 3 such that P is the change-of-coordinates matrix from
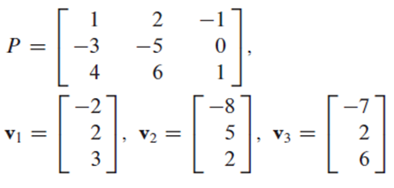
Let

a. Find a basis {u 1 , u 2 , u 3 } for R 3 such that P is the change-of-coordinates matrix from {u 1 , u 2 , u 3 } to the basis {v 1 , v 2 , v 3 }
[Hint: What do the columns of
represent?]
b. Find a basis {w 1 , w 2 , w 3 } for R 3 such that P is the change-of-coordinates matrix from {v 1 , v 2 , v 3 } to {w 1 , w 2 , w 3 }
P = V = 1 -3 4 -2 2 3 2 -5 6 V = 0 -8 5 2 V3 = 2 6 P -
Step by Step Solution
3.34 Rating (163 Votes )
There are 3 Steps involved in it
a Find a Basis u1 u2 u3 for mathbbR3 Such That P is the ChangeofCoordinates Matrix from u1 u2 u3 to v1 v2 v3 Step 1 Understand the Role of Matrix P Th... View full answer
Get step-by-step solutions from verified subject matter experts
Document Format (2 attachments)
6094e45345f8e_25340.pdf
180 KBs PDF File
6094e45345f8e_25340.docx
120 KBs Word File
