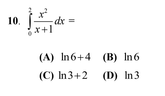
Question: 0 2 x 2 x + 1 d x = ( A ) l n 6 + 4 ( B ) l n 6 (
Step by Step Solution
There are 3 Steps involved in it
1 Expert Approved Answer
Step: 1 Unlock
Question Has Been Solved by an Expert!
Get step-by-step solutions from verified subject matter experts
Step: 2 Unlock
Step: 3 Unlock
