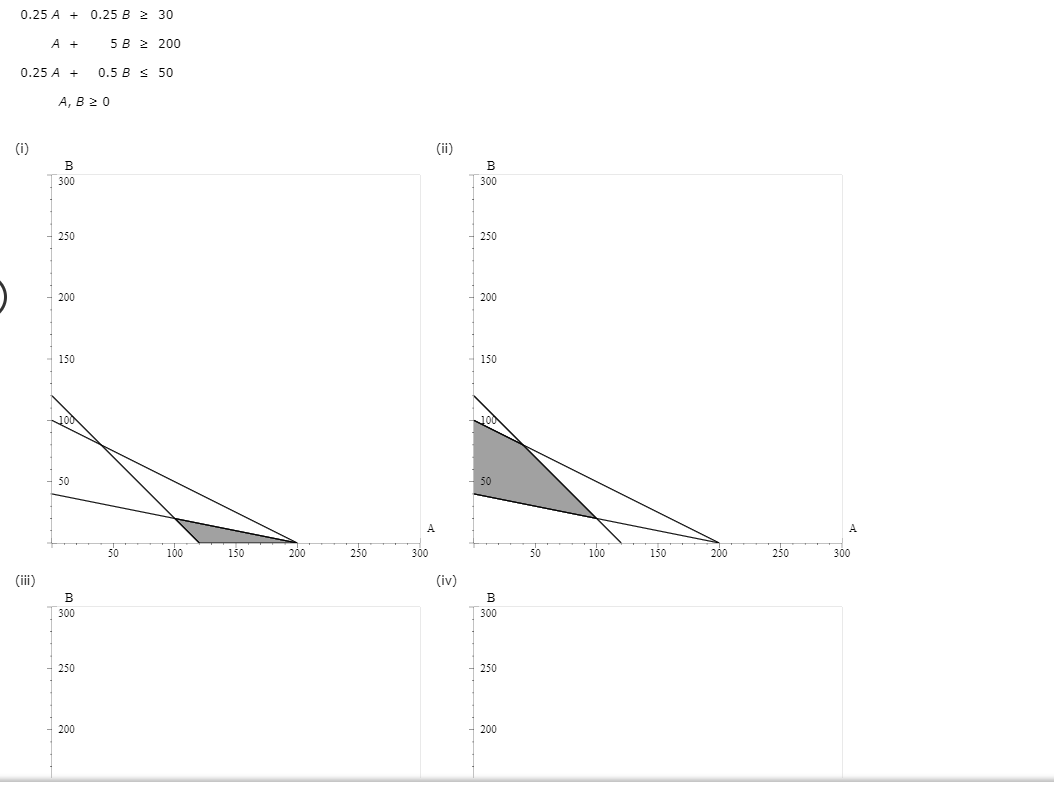
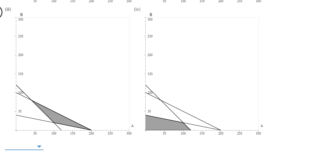
Question: 0.25 A + 0.25 B > 30 A + 5 B > 200 0.25 A + 0.5 BS 50 A,B 0 (i) (ii) B 300


Step by Step Solution
There are 3 Steps involved in it
1 Expert Approved Answer
Step: 1 Unlock
Question Has Been Solved by an Expert!
Get step-by-step solutions from verified subject matter experts
Step: 2 Unlock
Step: 3 Unlock
