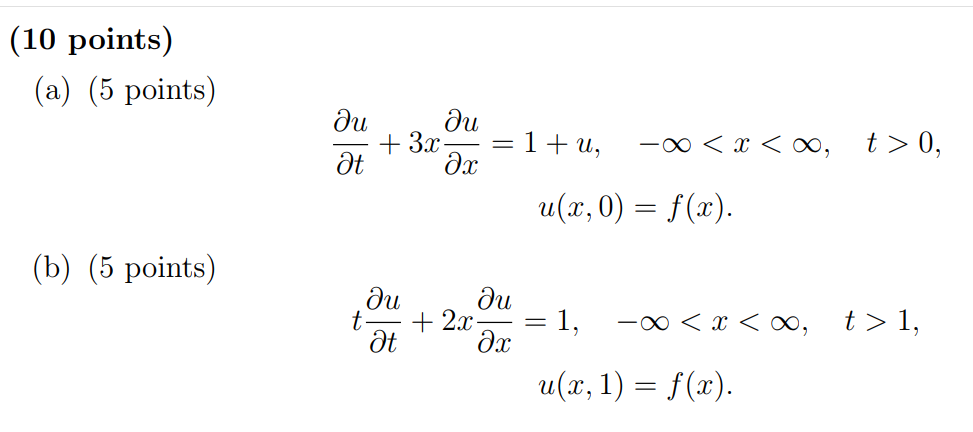
Question: ( 1 0 points ) ( a ) ( 5 points ) d e l u d e l t + 3 x d e
points
points
points
Step by Step Solution
There are 3 Steps involved in it
1 Expert Approved Answer
Step: 1 Unlock
Question Has Been Solved by an Expert!
Get step-by-step solutions from verified subject matter experts
Step: 2 Unlock
Step: 3 Unlock
