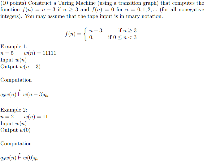
Question: ( 1 0 points ) Construct a Turing Machine ( using a transition graph ) that computes the function f ( n ) = n
points Construct a Turing Machine using a transition graph that computes the
function if and for dots for all nonegative
integers You may assume that the tape input is in unary notation.
Example :
Input
Output
Computation
Example :
Input
Output
Computation
Step by Step Solution
There are 3 Steps involved in it
1 Expert Approved Answer
Step: 1 Unlock
Question Has Been Solved by an Expert!
Get step-by-step solutions from verified subject matter experts
Step: 2 Unlock
Step: 3 Unlock
