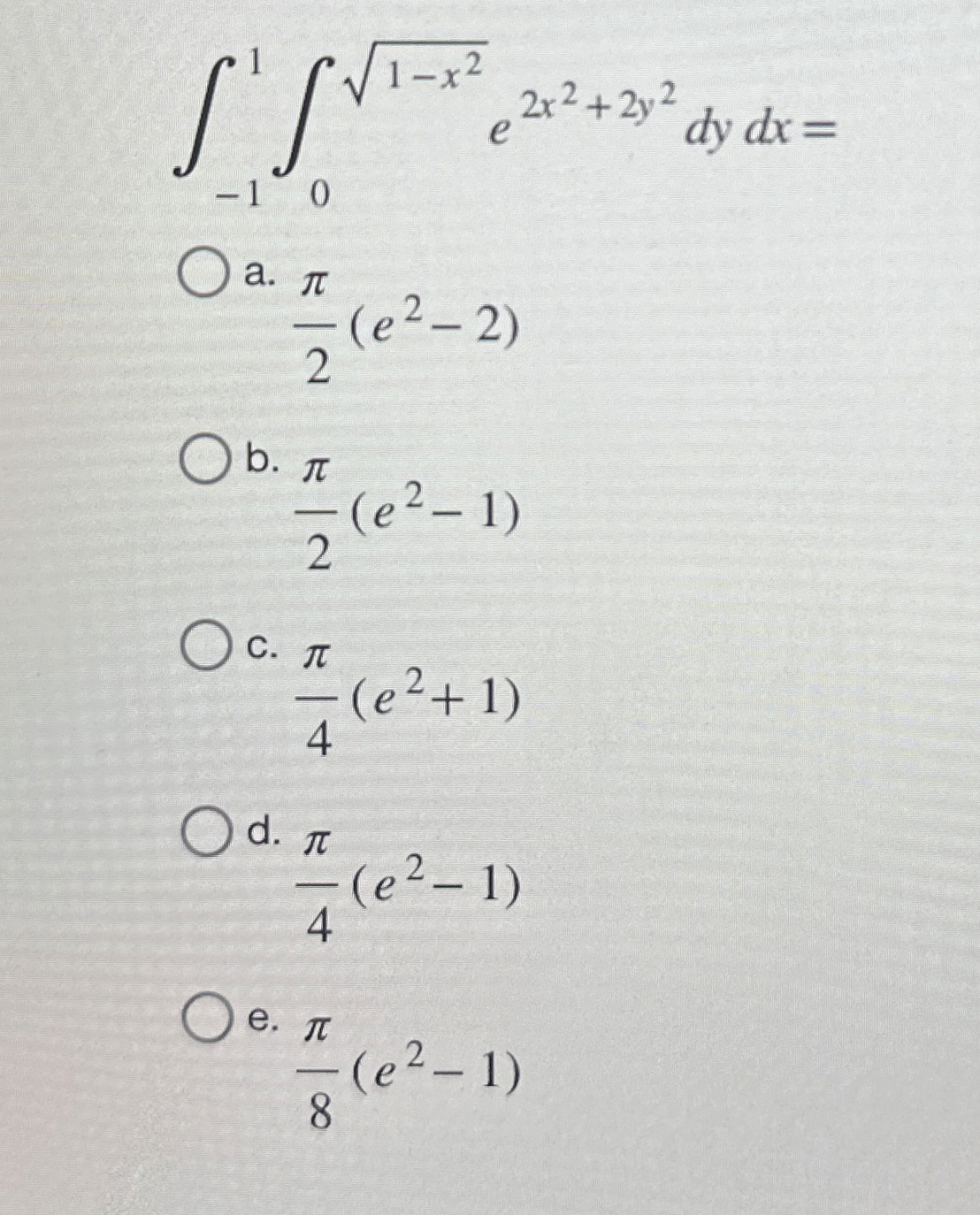
Question: - 1 1 0 1 - x 2 2 e 2 x 2 + 2 y 2 d y d x = a . 2
a
b
c
d
e
Step by Step Solution
There are 3 Steps involved in it
1 Expert Approved Answer
Step: 1 Unlock
Question Has Been Solved by an Expert!
Get step-by-step solutions from verified subject matter experts
Step: 2 Unlock
Step: 3 Unlock
