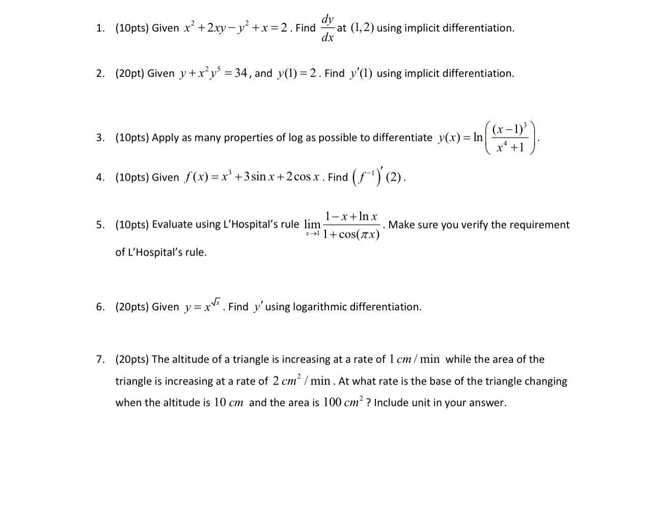
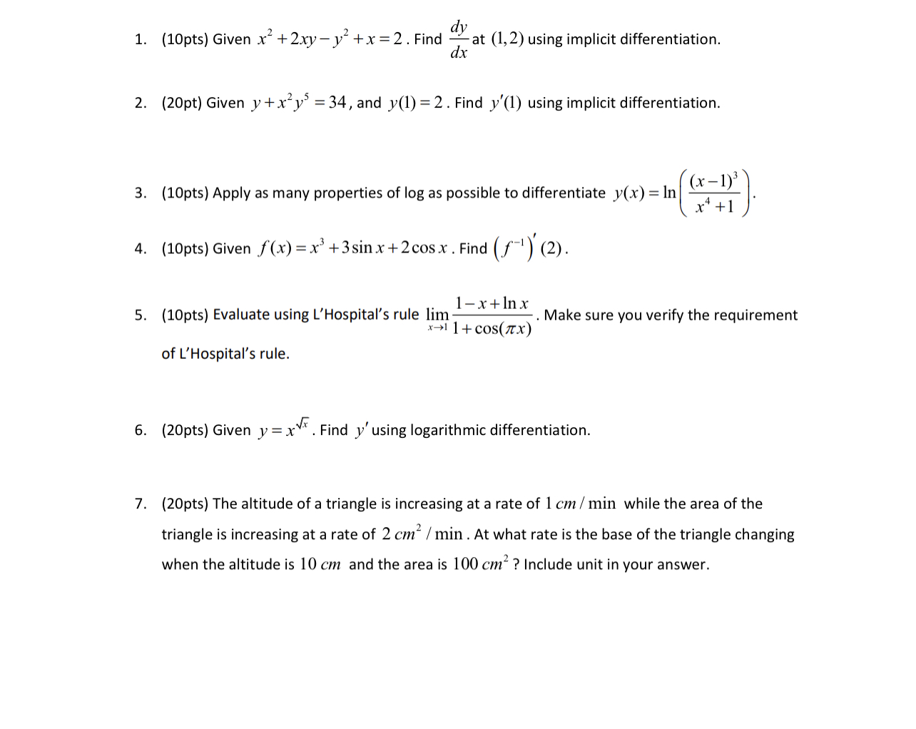
Question: 1. (10pts) Given x' + 2xy - y + x = 2. Find a - at (1, 2) using implicit differentiation. dx 2. (20pt) Given


1. (10pts) Given x' + 2xy - y + x = 2. Find a - at (1, 2) using implicit differentiation. dx 2. (20pt) Given y +xy' = 34, and y(1) = 2. Find y'(1) using implicit differentiation. 3. (10pts) Apply as many properties of log as possible to differentiate y(x) = In (x-1) x 4 + 1 4. (10pts) Given f(x) = x + 3sinx+ 2cosx . Find (f-' ) (2). 5. (10pts) Evaluate using L'Hospital's rule lim - I-x+In x . Make sure you verify the requirement x-1 1+ cos(7x) of L'Hospital's rule. 6. (20pts) Given y = x * . Find y' using logarithmic differentiation. 7. (20pts) The altitude of a triangle is increasing at a rate of 1 cm / min while the area of the triangle is increasing at a rate of 2 cm / min . At what rate is the base of the triangle changing when the altitude is 10 cm and the area is 100 cm ? Include unit in your
Step by Step Solution
There are 3 Steps involved in it
Get step-by-step solutions from verified subject matter experts
