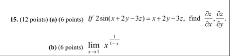
Question: ( 1 2 points ) ( a ) ( 6 points ) If 2 s i n ( x + 2 y - 3 z
pointsa points If find
b points
Step by Step Solution
There are 3 Steps involved in it
1 Expert Approved Answer
Step: 1 Unlock
Question Has Been Solved by an Expert!
Get step-by-step solutions from verified subject matter experts
Step: 2 Unlock
Step: 3 Unlock
