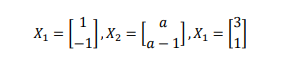
Question: = [1 2] two-dimensional Gaussian distribution random vector and the following measurements with respect to this vector have been obtained. Accordingly, determine what is required
![= [1 2] two-dimensional Gaussian distribution](https://dsd5zvtm8ll6.cloudfront.net/si.experts.images/questions/2024/12/675c14311d992_728675c1430ad717.jpg)
= [1 2] two-dimensional Gaussian distribution random vector and the following measurements with respect to this vector have been obtained.
Accordingly, determine what is required below from the measurements obtained in''. a) calculate .
B) calculate the correlation matrix, .
C) covariance matrix, calculate
d) define the standard deviation of 1 and.2 belirley 1 and 2.
e) determine the correlation coefficient of 1 and.2, 12.
F) can the components of the random vector x, 1 and 2 be unrelated (uncorrelated)? If it can be unrelated, specify the value/values that can receive.
[9] = tx(";")=zx [1] = 1x ,X1 X2 [9] = tx(";")=zx [1] = 1x ,X1 X2Step by Step Solution
There are 3 Steps involved in it
Get step-by-step solutions from verified subject matter experts
