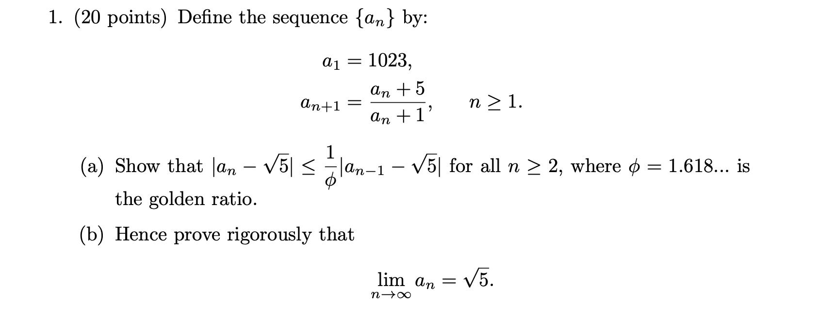
Question: 1. (20 points) Define the sequence {an} by: 1023, an + 5 an +1' a = an+1 = (a) Show that |an 5| =
1. (20 points) Define the sequence {an} by: 1023, an + 5 an +1' a = an+1 = (a) Show that |an 5| = |an the golden ratio. (b) Hence prove rigorously that n> 1. 5 for all n 2, where = 1.618... is lim an = n 5.
Step by Step Solution
3.48 Rating (151 Votes )
There are 3 Steps involved in it
Step No 1 Given that a 1... View full answer
Get step-by-step solutions from verified subject matter experts
