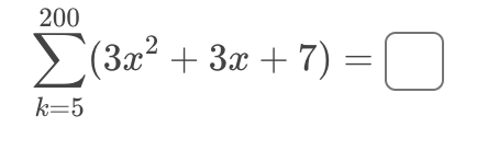
Question: 1. 200 (3x' + 3x + 7 ) = C k=5The arc length of the curve y = sin(9x ) on the interval 0, 20










1.










200 (3x' + 3x + 7 ) = C k=5The arc length of the curve y = sin(9x ) on the interval 0, 20 is given by the integral L =Let R be the region bounded by y = tan(x), y = 20, y = 0, and a = 7, where a
Step by Step Solution
There are 3 Steps involved in it
1 Expert Approved Answer
Step: 1 Unlock
Question Has Been Solved by an Expert!
Get step-by-step solutions from verified subject matter experts
Step: 2 Unlock
Step: 3 Unlock
