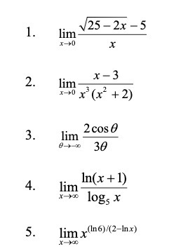
Question: 1. 25-2x - 5 lim X-D X x-3 2. lim X-0 x (x'+2) 2 cos 0 3. lim 30 In(x + 1) 4. lim logs

Step by Step Solution
There are 3 Steps involved in it
1 Expert Approved Answer
Step: 1 Unlock
Question Has Been Solved by an Expert!
Get step-by-step solutions from verified subject matter experts
Step: 2 Unlock
Step: 3 Unlock
