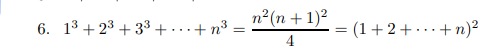
Question: 1 3 + 2 3 + 3 3 + cdots + n 3 = n 2 ( n + 1 ) 2 4 = (
cdotscdots
Step by Step Solution
There are 3 Steps involved in it
1 Expert Approved Answer
Step: 1 Unlock
Question Has Been Solved by an Expert!
Get step-by-step solutions from verified subject matter experts
Step: 2 Unlock
Step: 3 Unlock
