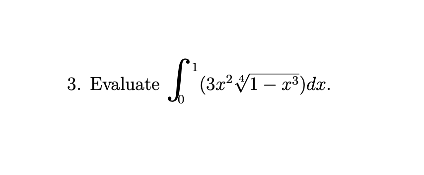
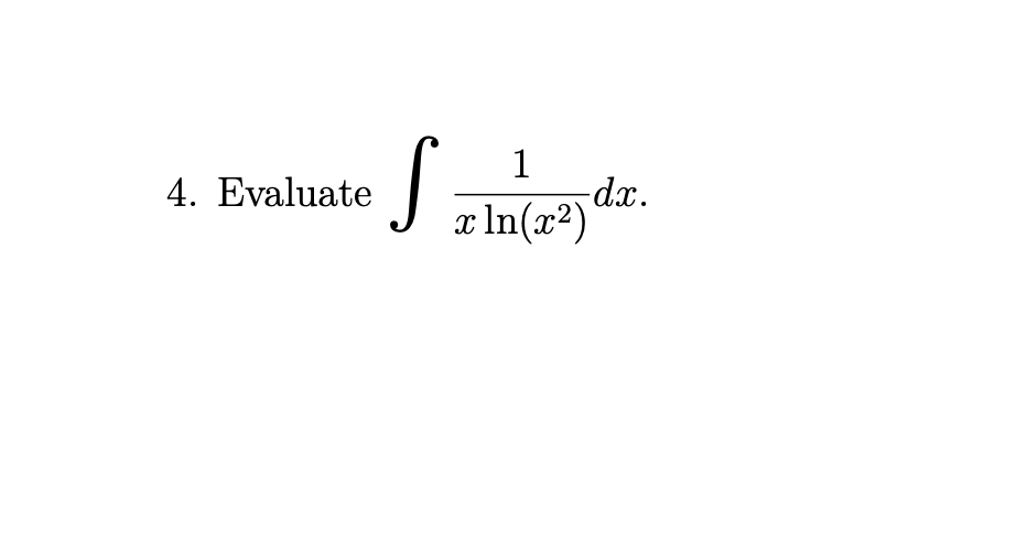
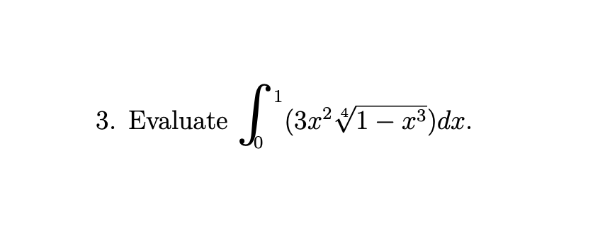
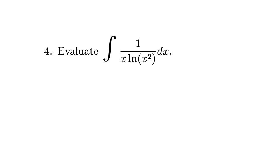
Question: 1 3. Evaluate (3x2 1 -23) da.4. Evaluate dx. x In(x2) 1 (3c2 v/iZ3)dx. 3. Evaluate




1 3. Evaluate (3x2 1 -23) da.4. Evaluate dx. x In(x2)
1 (3c2 v/iZ3)dx. 3. Evaluate
Step by Step Solution
There are 3 Steps involved in it
Get step-by-step solutions from verified subject matter experts
