Question: 1 3x x2 dy dx = 0 Select one: a. 1/3 b. 1 c. 9 d. 3/4 1 Select one: 9 d. 3/4 x2 dy

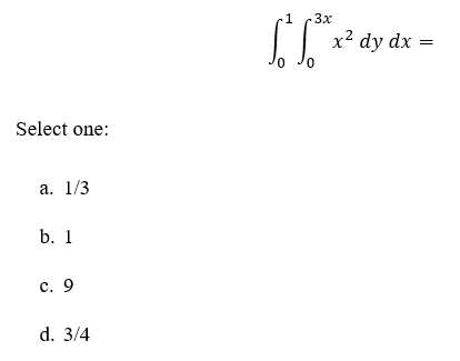
1 3x x2 dy dx = 0 Select one: a. 1/3 b. 1 c. 9 d. 3/4
1 Select one: 9 d. 3/4 x2 dy dx
Step by Step Solution
There are 3 Steps involved in it
Get step-by-step solutions from verified subject matter experts
