Question: 1. (4 points each) Set up the partial fraction decomposition with undetermined coeffi- cients of the given rational function. (Do NOT determine the numerical values
















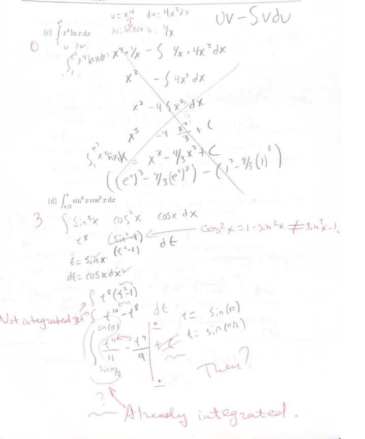
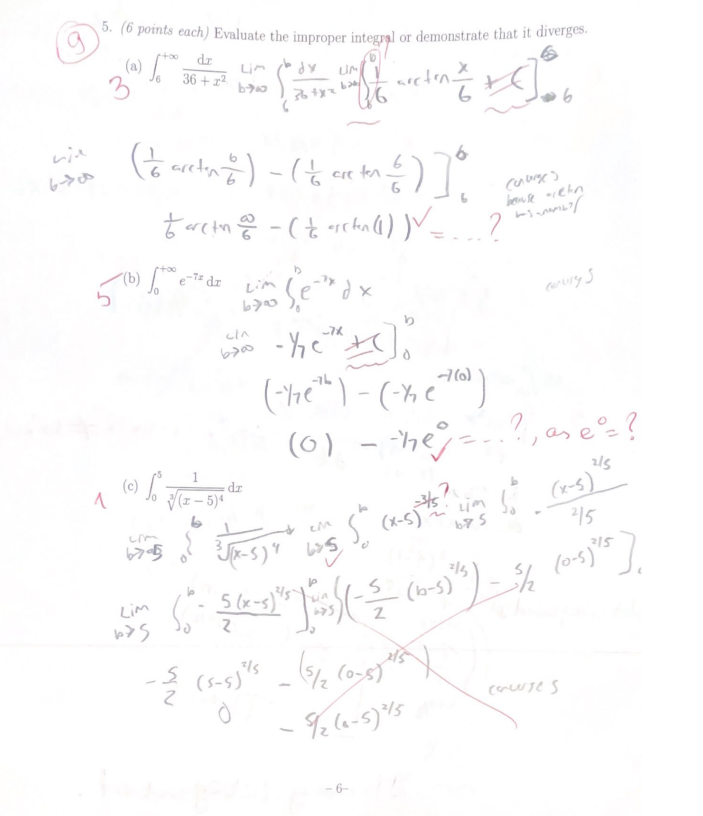
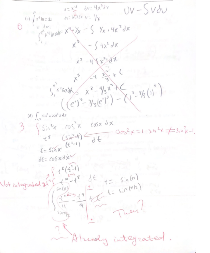
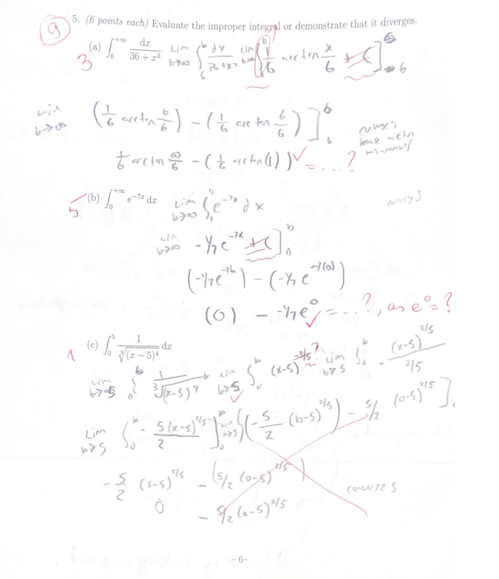
1. (4 points each) Set up the partial fraction decomposition with undetermined coeffi- cients of the given rational function. (Do NOT determine the numerical values of the coefficients, and do NOT integrate.) (a) ri+ +1 A BX+( Px7HEXTE 2 (x - 8)(x2 +9)3 ( x -4 ) ( *2+9 ), 137 (b) T2 - 100 = X2 - 100 137 (c) - Ax BX+ C 13 + 8 O - 2-2. (3 points) The following question was given on a Calculus quiz: Set up the partial fraction decomposition with indeterminate coefficients for the rational function 14r - 53 (I - 5)(12 -49) (Set up only; do not solve for the coefficients, and do not integrate.) A student gave the following answer to this question: 6" - YA ( 14r - 53 Br + C (x - 5)(12 - 49) 1-5 12 - 49 Explain why this is an incorrect partial fraction decomposition for this rational func- tion; then show the correct form of this decomposition. give both side y you Must 14 x- 53 (x - 5) ( x 2 49 ) x 2- 49 + 7x - 7x x2 4 7x - 7x -49 ( X - 7 ) 3. (3 points) The following question was given on a Calculus quiz: Evaluate the indefinite integral: / x3 sin r dr. 2 A student submitted the following answer to this question: sinade = =. (-cosz) + C Explain why this "answer" is wrong. What should be the correct approach to finding this integral? (Don't solve it; only describe how it should be done.) Should be using integration by port so can't just do derivative of booth ank8.5 4. (8 points each) Evaluate each of the given integrals. I cos (8r) dr UV - Sudu 5.5 U du Vdu U = X du = dx dv = cos ( 8x ) v = asin ( 1x ) S x cos ( 1x ) = . /8 x sin(8x) - 5 1/9 5 in ( 8x) dx _ yox Sin(8x -$5 sin 8x dy 18 xSin( x1 -15- 105 ( 2x ) + . deg Q(r). (d) In the product (r + 7)(x +9), the factor (r + 7) is linear function while the factor (r + 9) is linear repeated whose destec is 4. (e) If an improper integral / f(r) dx has a numerical value, we say that this integral CeAbug 3 7. (1 point each) For each of the following statements, determine whether it is true or false (circle the answer only; you don't need to show any work). (a) True or False: r - 71 + 4x - 15 (z + 1)(12 +8) is a proper rational function. V (b) True or False 23 + 7x - 11 is an irreducible quadratic polynomial. (c) True or False: Any cubic polynomial with real coefficients can be factored into non-constant polynomials of smaller degrees. (d) True of False. 12 - 31 adr is an improper integral. (e)( Trug or False: The improper integral / cosrdr diverges to infinity. (f) True or False Since f(x) = = is an odd function, - dr = 0.6 1. (8 points each) Evaluate each of the given integrals. Give each answer rounded to four places after the decimal point. 3 (2 ) / 5x3 - 712 - 18x + 11 5 I -3 ") Work doing long division? 5 x 2- XX -15 + =34 Edx Almost all coefficients are V = x - 3 du=dx 5 x 3 - 2 x -15 x x Multiplied together? ? 3 * 3 - 2 X - 15 x - 34 In ( X- 3/ 1 ( ]2 208.3333 - 50 - 75 - 23.5670 ) -(56,117-202-157T-346 - ( 51. (771 - 19 , 7392 - 47. 1239 + 66.4 59, 7663 - (51. 2772 ) 8: 4891 - 1-(b) ( 56sin (9z) cos ( 5x) du 2- 1 56 2 ( sin ( 14 * ) + sin ( 4* ) ) dy 28 ( 5 in ( 14x ) + 5 ( 4 x ) ) ]. Your forgot to integrate 28 ( Sin ( 28 ) +\\ Sin ( 8) ) - 28 ( sin(0) + sin (0) ) 28 ( 0. 4695 + 0, 1342) ( 17. 0421 )-10 17. 6421 Liate (c) 17 dr dx r / 16 - In' r LI x ( 16 - In' x ) Yz = cresin 17 arcsin y Sin (x ) IT aresin 10 klal 4 )- Marksin 2 In /2) 4 (1arcsin ( 23.625 9)) -( 17 arcsin 1, 3863 ) 42. 419/ - 702. 6786 -660. 2595
Step by Step Solution
There are 3 Steps involved in it
Get step-by-step solutions from verified subject matter experts
