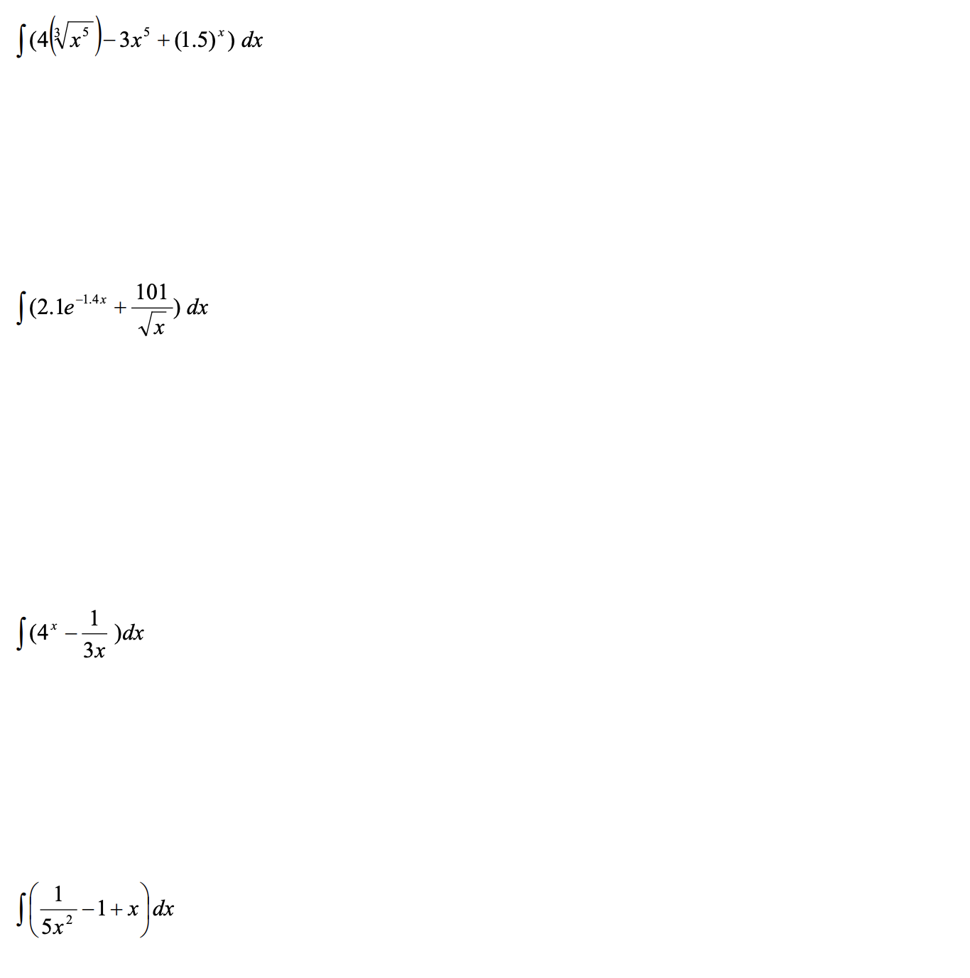
Question: 1 (4( Vx5 ) - 3x5 + (1.5)* ) dx (2. 1e-1.4x | 101 Vx - dx 1(4x _1 - )dx 3x 5 x2 -1+x


1 (4( Vx5 ) - 3x5 + (1.5)* ) dx (2. 1e-1.4x | 101 Vx - dx 1(4x _1 - )dx 3x 5 x2 -1+x dx
Step by Step Solution
There are 3 Steps involved in it
Get step-by-step solutions from verified subject matter experts
