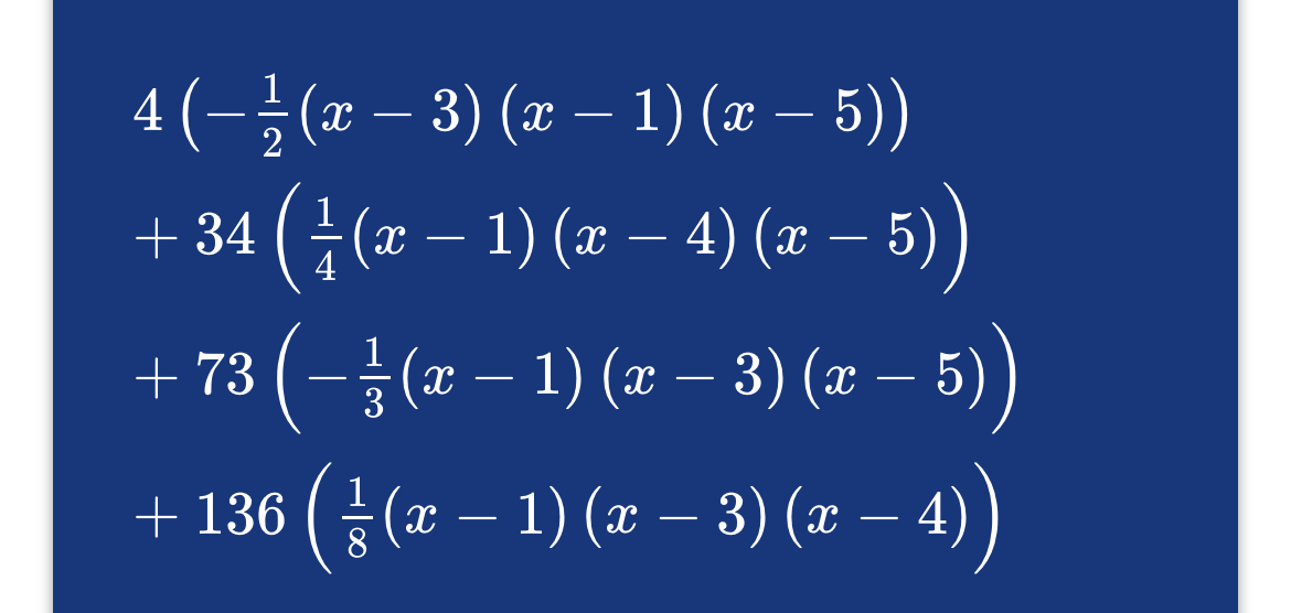
Question: - 1 4 ( (x 3) (x 1) (x 5)) 1 - - - + 34 ( (x 1) (x 4) (x 5)) 1
- 1 4 ( (x 3) (x 1) (x 5)) 1 - - - + 34 ( (x 1) (x 4) (x 5)) 1 - - + 73 ( (x 1) (x 3) 1 8 3 - - - (x 5)) (4)) + 136 ( (x 1) (x 3) (x 4) -
Step by Step Solution
There are 3 Steps involved in it
Get step-by-step solutions from verified subject matter experts
