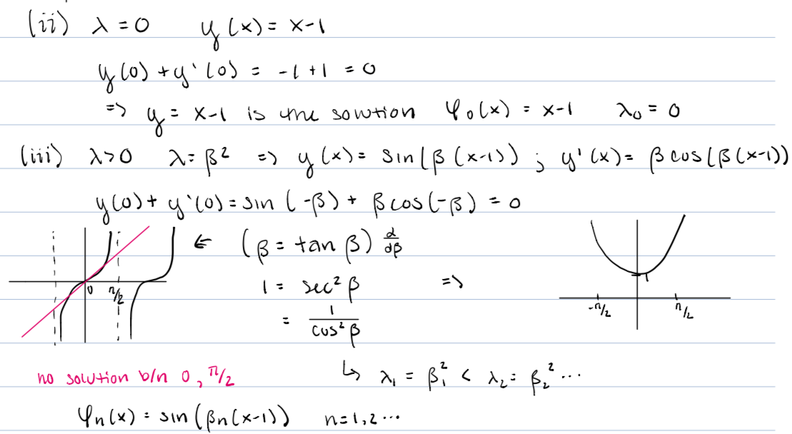
Question: 1. (40) Consider the eigenvalue problem on [0, 1], -y = ly with y(0) + y'(0) = 0, y(1) = 0. (You can assume that
![1. (40) Consider the eigenvalue problem on [0, 1], -y" =](https://dsd5zvtm8ll6.cloudfront.net/si.experts.images/questions/2024/10/670a2d3ba1e81_187670a2d3b88cce.jpg)


1. (40) Consider the eigenvalue problem on [0, 1], -y" = ly with y(0) + y'(0) = 0, y(1) = 0. (You can assume that all the eigenvalues are real.) (a) (20) Solve the eigenvalue problem. That is, you need to find the eigenvalues An with {do 1
Step by Step Solution
There are 3 Steps involved in it
Get step-by-step solutions from verified subject matter experts
