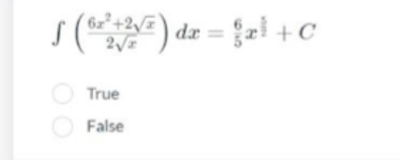
Question: 1) 6x-+2x 2vx da = x +C True O FalsefConsider the function f (x) = z? + 5 on the interval [0, 1] using the
1)

![f (x) = z? + 5 on the interval [0, 1] using](https://s3.amazonaws.com/si.experts.images/answers/2024/06/667f9cf0cd33f_280667f9cf0aea3a.jpg)


![h (a) = 5 + 2x on the interval [0, 5] using](https://s3.amazonaws.com/si.experts.images/answers/2024/06/667f9cf1b125b_281667f9cf198d6a.jpg)







6x-+2x 2vx da = x +C True O False\fConsider the function f (x) = z? + 5 on the interval [0, 1] using the left Reimann sum with n=4. Find the area. 5.2188 square units 5.2078 square units 5.2187 square units O 5.2278 square unitsConsider the function h (a) = 5 + 2x on the interval [0, 5] using the Midpoint Riemann sum with n = 5. Which of the following statements is false/incorrect? The sum of the heights of the rectangles is 100. The given interval is [0, 5), hence, a = 0 and b = 5. The area between the graph of h and the a-axis on the interval [0, 5) is 50 square units. O The width of each rectangle is 1.sec' (3x) In evaluating J 2-tan(3x) da, we make the substitution u = 2 - tan (3x) . Then, J 2-tan(3.x) sec (30) de. = (? ) In (2 - tan(32) + C What is the missing factor? O OOOThere can be many antiderivatives of a given function. since they differ only by a constant. True False I In evaluating fa." (9 25)7dz. we make the substitution 1.: = 9 - z' . Then.f=*(o_z=)%dz=( 2 )(925)7+c What is the missing factor? 1 mi. mu- ms: atla- U!
Step by Step Solution
There are 3 Steps involved in it
Get step-by-step solutions from verified subject matter experts
