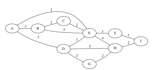
Question: 1) a. Apply Prims algorithm to find a minimum spanning tree of the graph below. Show the spanning tree that is obtained at each stage
1)
a. Apply Prims algorithm to find a minimum spanning tree of the graph below. Show the spanning tree that is obtained at each stage of the algorithm.
b. Apply Kruskals algorithm to find a minimum spanning tree of the graph below. Show the spanning tree that is obtained at each stage of the algorithm.

12 5 2 2
Step by Step Solution
There are 3 Steps involved in it
Get step-by-step solutions from verified subject matter experts
