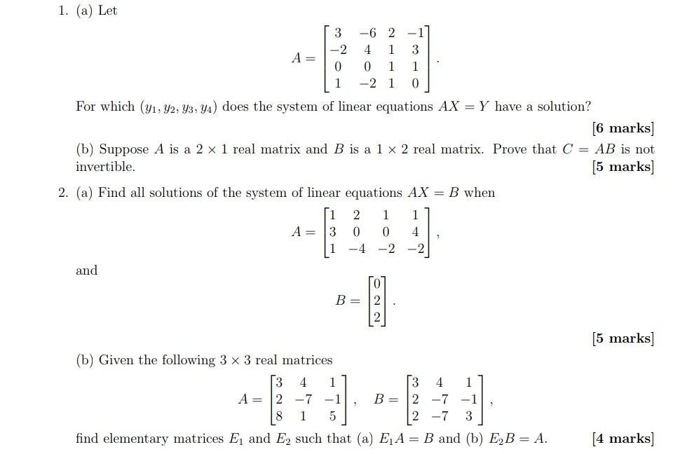
Question: 1. (a) Let -6 2 -2 A = 0. 4 1 3 1 1 1 -2 1 For which (y1, Y2, Y3, Y4) does

1. (a) Let -6 2 -2 A = 0. 4 1 3 1 1 1 -2 1 For which (y1, Y2, Y3, Y4) does the system of linear equations AX = Y have a solution? [6 marks] (b) Suppose A is a 2 x 1 real matrix and B is a 1 x 2 real matrix. Prove that C = AB is not [5 marks] invertible. 2. (a) Find all solutions of the system of linear equations AX = B when 2 1 1 A = |3 1 -4 -2 -2 and B = [5 marks] (b) Given the following 3 x 3 real matrices 3 B = 2 3 4 1 1 A = 2 -7 -1 -7 -1 8 -7 3 find elementary matrices E1 and E2 such that (a) E1A = B and (b) E2B = A. [4 marks] 'O N N
Step by Step Solution
3.32 Rating (146 Votes )
There are 3 Steps involved in it
1a ... View full answer
Get step-by-step solutions from verified subject matter experts
Document Format (2 attachments)
636618d71b485_240827.pdf
180 KBs PDF File
636618d71b485_240827.docx
120 KBs Word File
