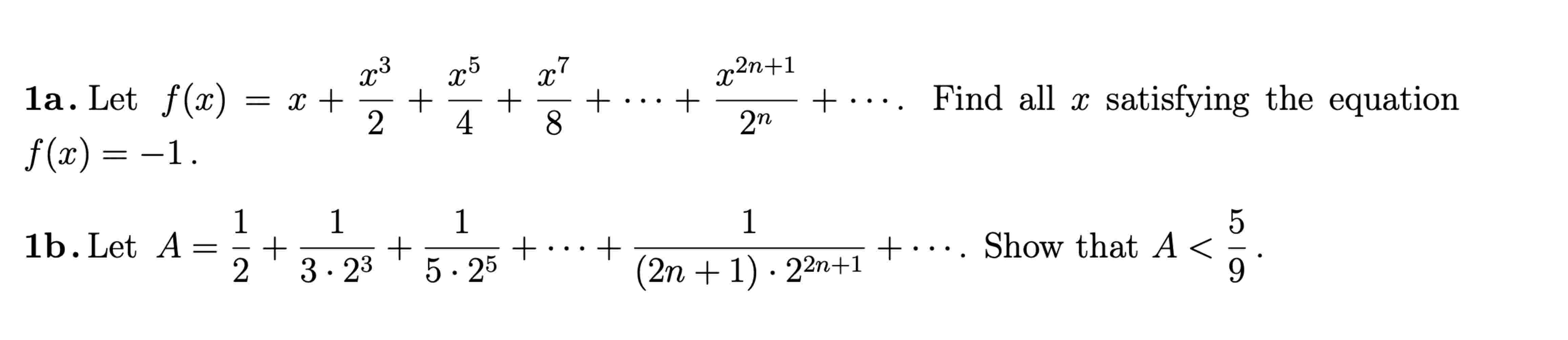
Question: 1 a . Let f ( x ) = x + x 3 2 + x 5 4 + x 7 8 + cdots +
Let cdotscdots. Find all satisfying the equation
Let cdotscdots. Show that
Step by Step Solution
There are 3 Steps involved in it
1 Expert Approved Answer
Step: 1 Unlock
Question Has Been Solved by an Expert!
Get step-by-step solutions from verified subject matter experts
Step: 2 Unlock
Step: 3 Unlock
