Question: 1) A linear programming problem has two constraints 2X + 4Y 50 and 1X + 8Y 100, plus nonnegativity constraints on X and Y. Which
1) A linear programming problem has two constraints 2X + 4Y 50 and 1X + 8Y 100, plus nonnegativity constraints on X and Y. Which of the following statements about its feasible region istrue?
a) The graphical origin (0, 0) is not in the feasible region.
b)Two of the corner points are (50, 0) and (0, 12.5).
c)Two of the corner points are (25, 0) and (0, 12.5).
d)The total number of corner points is 4.
e)The feasible region cannot be determined without knowing whether the problem is to be minimized or maximized.
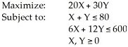
Consider the following linear programming problem:

Maxim 120: 20X + 3 Subject to: Y = 80 X + 12Y = 600
Step by Step Solution
There are 3 Steps involved in it
Get step-by-step solutions from verified subject matter experts
