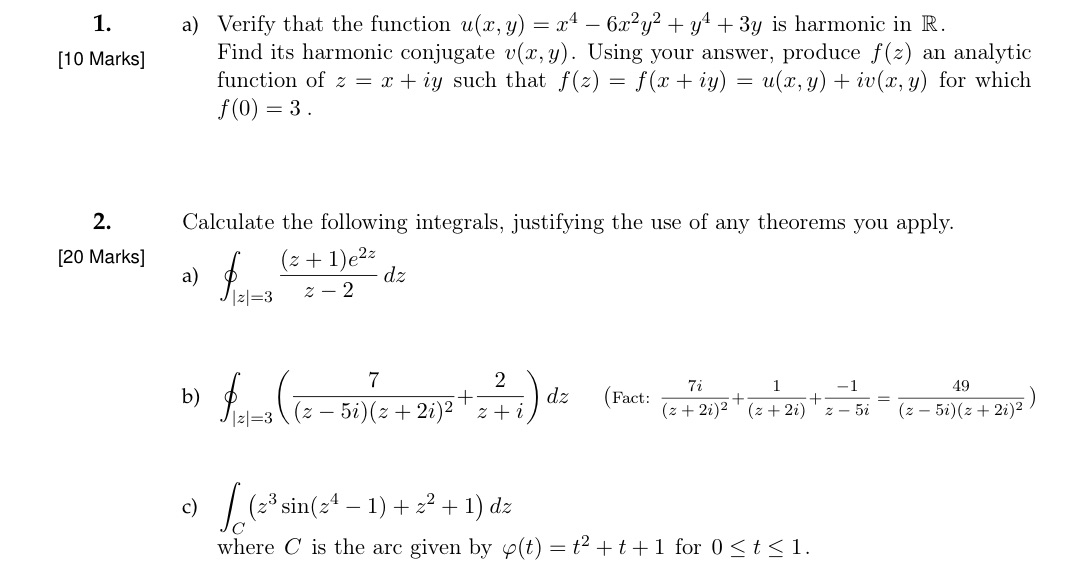
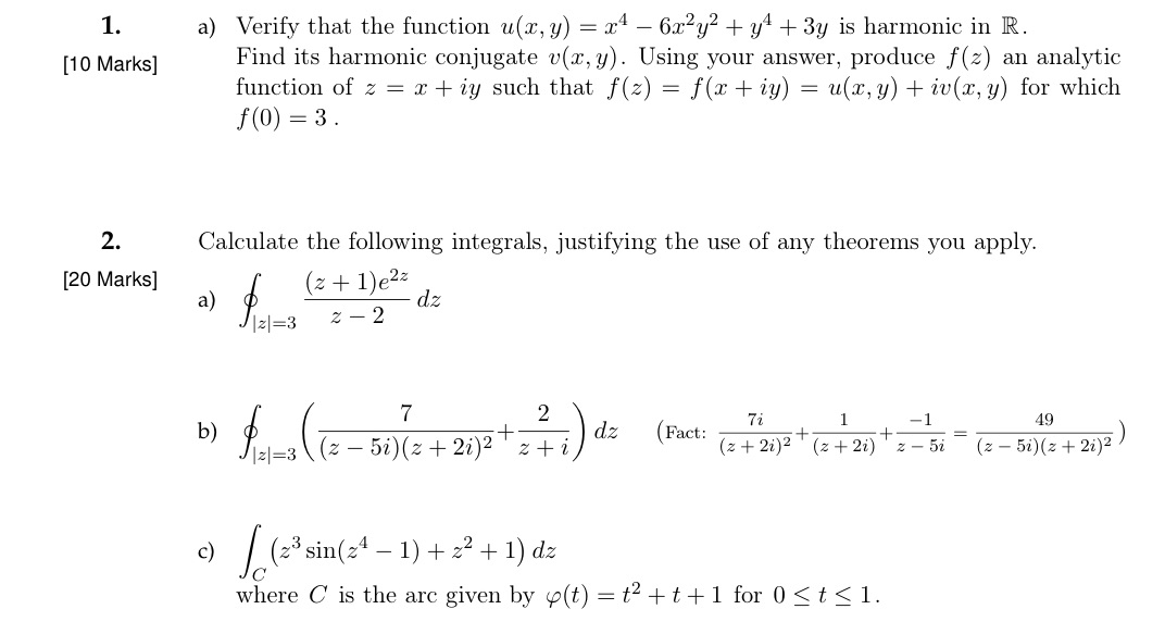
Question: 1. a) Verify that the function u(x, y) = x4 -6x2y2 + y4 + 3y is harmonic in R. [10 Marks] Find its harmonic conjugate

![+ y4 + 3y is harmonic in R. [10 Marks] Find its](https://s3.amazonaws.com/si.experts.images/answers/2024/06/6665388a37560_6426665388a1eb02.jpg)
1. a) Verify that the function u(x, y) = x4 -6x2y2 + y4 + 3y is harmonic in R. [10 Marks] Find its harmonic conjugate v(x, y). Using your answer, produce f (z) an analytic function of z = x + iy such that f(2) = f(x +iy) = u(x, y) + iv(x, y) for which f (0) = 3. 2. Calculate the following integrals, justifying the use of any theorems you apply. [20 Marks] (z + 1)e2z a) dz 121 =3 2 - 2 7 2 7i 1 49 b) (z - 52) (z + 2i)2 z+ dz ( Fact: 12/=3 (z + 2i)2 (2 + 2i) z - 5i (z - 57)(z + 2i)2 c ) (23 sin(24 - 1) + 22 + 1) dz where C is the arc given by 4(t) = t2 + t + 1 for 0
Step by Step Solution
There are 3 Steps involved in it
Get step-by-step solutions from verified subject matter experts
