Question: 1. Based on the unnormalized data table, provide an example of a deletion anomaly that would occur if Product 4XRG85 is deleted from the table.


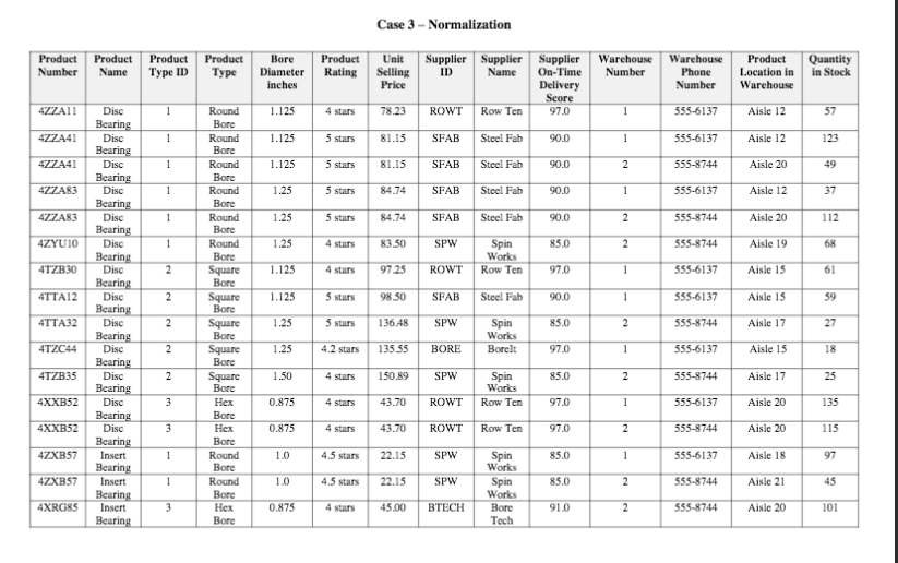
1. Based on the unnormalized data table, provide an example of a deletion anomaly that would occur if Product 4XRG85 is deleted from the table. 2. Transform the unnormalized data into a set of 3NF tables. In doing so, show and label the INF table, the 2NF tables and the 3NF tables. Clearly indicate the PK of each table. You do not need to include the data in your solution. 3. If the Product Rating for Item Number 4XXB57 falls from 4.5 stars to 4 stars, how many cells of data need to be changed in your final 3NF solution? Case 3 - Normalization Product Number Product Name Product Type ID Product Type Bore Diameter inches Product Rating Unit Selling Price Supplier ID Warehouse Number Supplier Supplier Name On-Time Delivery Score Row Ten 97.0 Warehouse Phone Number Product Location in Warehouse Quantity in Stock 4ZZAI! 1 1.125 4 stars 78.23 ROWT 1 555-6137 Aisle 12 57 4ZZA41 1 1.125 5 stars 81.15 SFAB Steel Fab 90.0 1 555-6137 Aisle 12 123 4ZZA41 1 1.125 81.15 SFAB Steel Fab 90.0 2 555-8744 Aisle 20 49 5 stars 5 stars 4ZZA83 1 1.25 84.74 SFAB Steel Fab 90.0 1 555-6137 Aisle 12 37 4ZZA83 1 1.25 5 stars 84.74 SFAB Steel Fab 90.0 2 555-8744 Aisle 20 112 4ZYU10 1 1.25 4 stars 83.50 SPW 85.0 2 555-8744 Aisle 19 68 Spin Works Row Ten 4TZB30 2 1.125 4 stars 97.25 ROWT 97.0 1 555-6137 Aisle 15 61 4TTA12 2 1.125 5 stars 98.50 SFAB Steel Fab 90.0 1 555-6137 Aisle 15 59 Disc Bearing Disc Bearing Disc Bearing Disc Bearing Disc Bearing Disc Bearing Disc Bearing Disc Bearing Disc Bearing Disc Bearing Disc Bearing Disc Bearing Disc Bearing Insert Bearing Insert Bearing Insert Bearing Round Bore Round Bore Round Bore Round Bore Round Bore Round Bore Square Bore Square Bore Square Bore Square Bore Square Bore Hex Bore Hex Bore Round Bore Round Bore Hex Bore 4TTA32 2 1.25 136.48 SPW 85.0 2 555-8744 Aisle 17 27 5 stars 4.2 stars Spin Works Borelt 4TZC44 2 1.25 135.55 BORE 97.0 1 555-6137 Aisle 15 18 4TZB35 2 1.50 4 stars 150.89 SPW 85.0 2 555-8744 Aisle 17 25 Spin Works Row Ten 4XXB52 3 0.875 4 stars 43.70 ROWT 97.0 1 555-6137 Aisle 20 135 4XXB52 3 0.875 4 stars 43.70 ROWT Row Ten 97.0 2 555-8744 Aisle 20 115 4ZXB57 1 1.0 4.5 stars 22.15 SPW 85.0 1 555-6137 Aisle 18 97 4ZXB57 1 1.0 4.5 stars 22.15 SPW 85.0 2 555-8744 Spin Works Spin Works Bore Tech Aisle 21 45 4XRG85 0.875 45.00 BTECH 91.0 2 555-8744 Aisle 20 101
Step by Step Solution
There are 3 Steps involved in it
Get step-by-step solutions from verified subject matter experts
