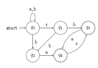
Question: 1. By using the powerset construction from Theorem 1.39 in the book, convert the following NFA into an equivalent DFA. If there are any undeeded
1. By using the powerset construction from Theorem 1.39 in the book, convert the following NFA into an equivalent DFA. If there are any undeeded states or states that can be combined, you may simplify your DFA.

a,b b start = 90 91 48
Step by Step Solution
There are 3 Steps involved in it
Get step-by-step solutions from verified subject matter experts
