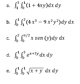
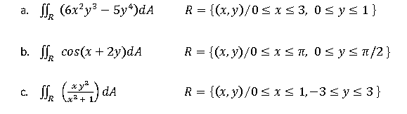
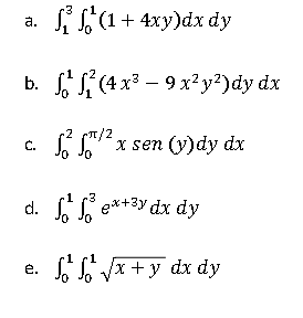
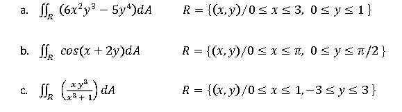
Question: 1. Calculate the iterated integral fol(l + 4xy)dx dy b. f12(4x3 9 x2y2)dy dx C 102 for/ 2 x sen (y)dy dx e dx dy


1. Calculate the iterated integral


fol(l + 4xy)dx dy b. f12(4x3 9 x2y2)dy dx C 102 for/ 2 x sen (y)dy dx e dx dy
Step by Step Solution
There are 3 Steps involved in it
Get step-by-step solutions from verified subject matter experts
