Question: 1) Consider f : P2 - P2 defined by T[f (c)] = cand T[f (x)] = f(x + 2), f(x) EP2. Find the matrix of

1) Consider f : P2 - P2 defined by T[f (c)] =1) Consider f : P2 - P2 defined by T[f (c)] =
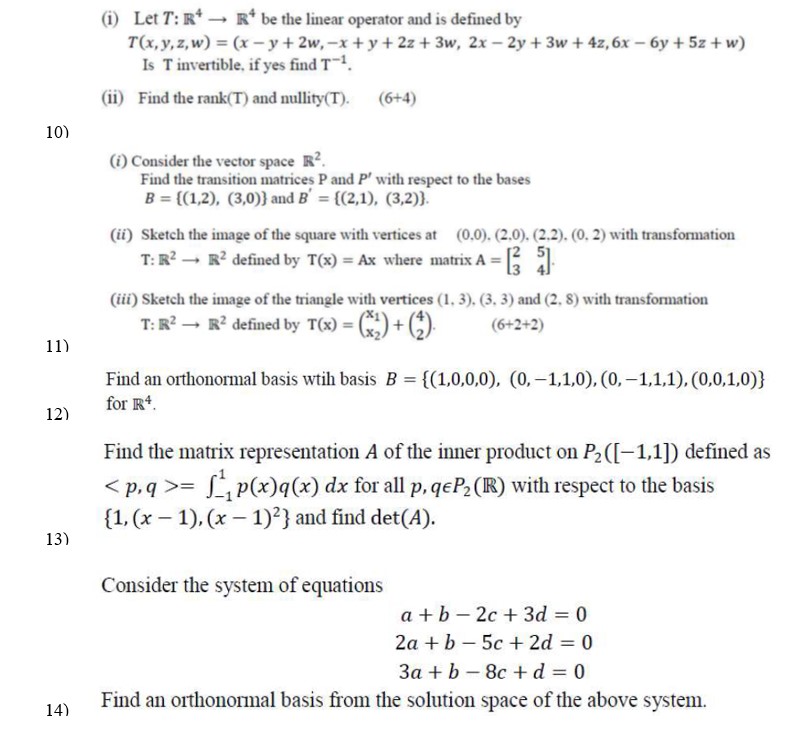
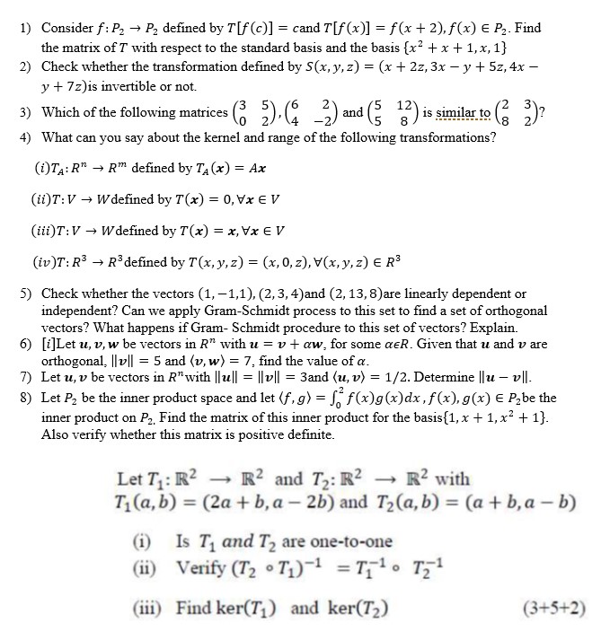
1) Consider f : P2 - P2 defined by T[f (c)] = cand T[f (x)] = f(x + 2), f(x) EP2. Find the matrix of T with respect to the standard basis and the basis {x- + x + 1, x, 1} 2) Check whether the transformation defined by S(x, y, z) = (x + 2z, 3x - y + 5z, 4x - y + 7z) is invertible or not. 3) Which of the following matrices (8 3). (9 _2) and (8 19) is smiler!e ( 3)? 4) What can you say about the kernel and range of the following transformations? (i)TA: R" - R' defined by TA (x) = Ax (ii)T: V - Wdefined by T(x) = 0, Vx EV (iii)T: V - Wdefined by T(x) = x, Vx EV (iv)T: R3 - R'defined by T(x, y, z) = (x, 0, z), V(x, y, Z) E R3 5) Check whether the vectors (1, -1,1), (2, 3, 4) and (2, 13, 8)are linearly dependent or independent? Can we apply Gram-Schmidt process to this set to find a set of orthogonal vectors? What happens if Gram- Schmidt procedure to this set of vectors? Explain. 6) [i]Let u, v, w be vectors in R" with u = v + aw, for some deR. Given that u and v are orthogonal, Ilull = 5 and (v, w) = 7, find the value of a. 7) Let u, v be vectors in R" with |lull = lull = 3and (u, v) = 1/2. Determine llu - vil. B) Let P2 be the inner product space and let (f,g) = f, f(x)g(x)dx , f(x), 9(x) EP,be the inner product on P2. Find the matrix of this inner product for the basis (1, x + 1, x' + 1}. Also verify whether this matrix is positive definite. Let 7: 2 - 12 and 72: 2 - 12 with Ti(a, b) = (2a + b, a - 2b) and T2(a, b) = (a + b,a - b) (i) Is T, and T2 are one-to-one (ii) Verify (T2 of1) 1 = Til. T21 (iii) Find ker(71) and ker(T2) (3+5+2)(i) Let T: R* - R* be the linear operator and is defined by T(x, y, z, w) = (x -y+ 2w, -x + y + 2z + 3w, 2x - 2y + 3w + 4z, 6x - 6y + 5z + w) Is T invertible, if yes find T-1. (ii) Find the rank(T) and nullity(T). (6+4) 10) (i) Consider the vector space R2. Find the transition matrices P and P' with respect to the bases B = {(1,2), (3,0)] and B' = {(2,1), (3,2)]. (ii) Sketch the image of the square with vertices at (0.0). (2.0). (2.2). (0. 2) with transformation T: R2 - R2 defined by T(x) = Ax where matrix A = [ $]. (iii) Sketch the image of the triangle with vertices (1, 3), (3, 3) and (2, 8) with transformation T: R2 - 12 defined by T(x) = (x;) + (2) ( 6+2+2) 11) Find an orthonormal basis wtih basis B = {(1,0,0,0), (0, -1,1,0), (0, -1,1,1). (0,0,1,0)} 12) for IR4. Find the matrix representation A of the inner product on P2 ([-1,1]) defined as = [,p(x)q(x) dx for all p, qEP2 (IR) with respect to the basis {1, (x - 1), (x - 1)2} and find det(A). 13) Consider the system of equations atb - 2c + 3d = 0 2a + b - 5c + 2d = 0 3a + b - 8c + d =0 14) Find an orthonormal basis from the solution space of the above system

Step by Step Solution

There are 3 Steps involved in it

1 Expert Approved Answer
Step: 1 Unlock blur-text-image
Question Has Been Solved by an Expert!

Get step-by-step solutions from verified subject matter experts

Step: 2 Unlock
Step: 3 Unlock

Students Have Also Explored These Related Mathematics Questions!