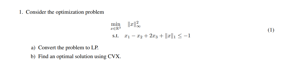
Question: 1. Consider the optimization problem xR3mins.t.x2x1x2+2x3+x11 a) Convert the problem to LP. b) Find an optimal solution using CVX

Step by Step Solution
There are 3 Steps involved in it
1 Expert Approved Answer
Step: 1 Unlock
Question Has Been Solved by an Expert!
Get step-by-step solutions from verified subject matter experts
Step: 2 Unlock
Step: 3 Unlock
