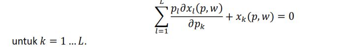
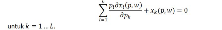
Question: 1. consumers have expenditure function such as PIDX1(p, w) untukk= 1 ...L.


1. consumers have expenditure function such as


PIDX1(p, w) untukk= 1 ...L.
Step by Step Solution
There are 3 Steps involved in it
1 Expert Approved Answer
Step: 1 Unlock
Question Has Been Solved by an Expert!
Get step-by-step solutions from verified subject matter experts
Step: 2 Unlock
Step: 3 Unlock
