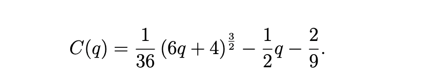
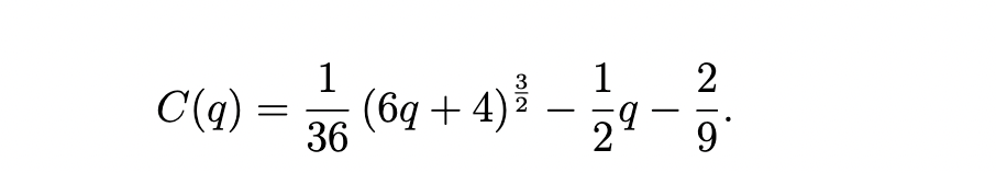
Question: 1 C(q) (6q + 4) 2 COIN NIH = 36 (6q + 4)} 36


1 C(q) (6q + 4) 2 COIN NIH = 36
(6q + 4)} 36
Step by Step Solution
There are 3 Steps involved in it
Get step-by-step solutions from verified subject matter experts
