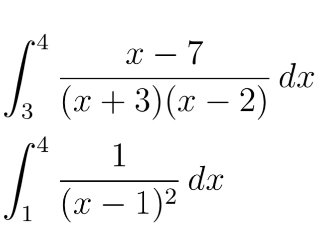
Question: 1. Determine whether the integral is improper. If it is improper, determine whether it is convergent or divergent. If it is not improper, then you
1. Determine whether the integral is improper. If it is improper, determine whether it is convergent or divergent. If it is not improper, then you do not need to evaluate it.

Step by Step Solution
There are 3 Steps involved in it
Get step-by-step solutions from verified subject matter experts
