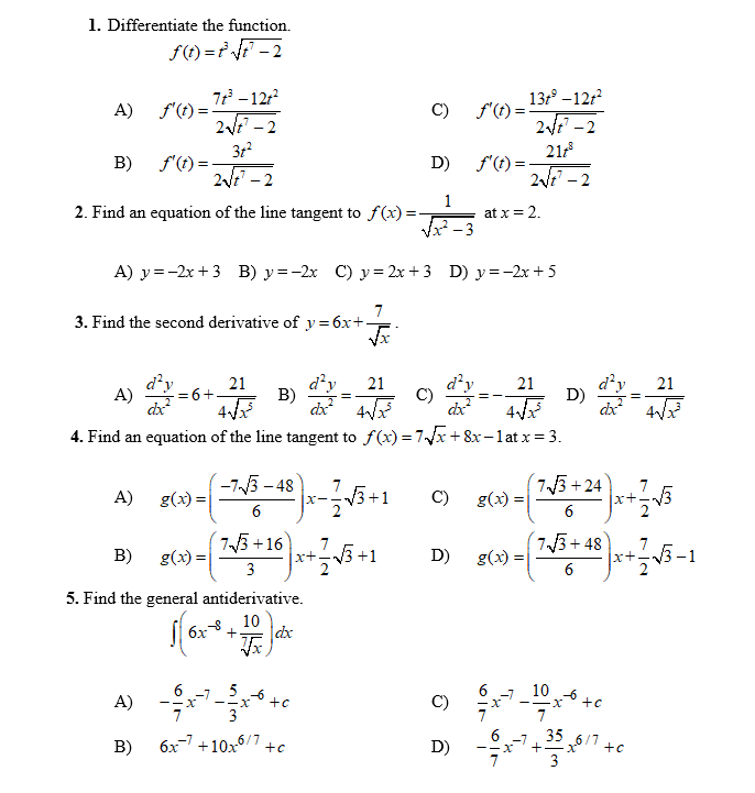
Question: 1. Differentiate the function. f (1) =fit -2 A) f)=It - 1272 C) f()-13t-1272 2 it7 - 2 2 /17 -2 B) f(1 ) =

1. Differentiate the function. f (1) =fit -2 A) f)=It - 1272 C) f()-13t-1272 2 it7 - 2 2 /17 -2 B) f(1 ) = 3+2 217 D) f(1) = 2 /17 - 2 2 127 - 2 1 2. Find an equation of the line tangent to f (x) =- at x = 2. x 2 - 3 A) y=-2x+3 B) y=-2x C) y=2x+3 D) y=-2x+5 7 3. Find the second derivative of y = 6x+ VX 21 21 21 A) 6+ - 21 day. B) C) D) dx 41x5 dx dx dx - 4x 4. Find an equation of the line tangent to f(x) =7~x + 8x -lat x = 3. A) g(x) = -713 -48 x - 13+1 C) (x)= 7V/3 + 24 6 6 7-/3+16 13+1 D) g(x) = 7:/3 + 48 g(x) = 1x+-3-1 3 6 2 5. Find the general antiderivative. 6x 8 + 10 dx 6 10 A) 5 0 - X C) - X 7 35 B) 6x- + 10x/+c D) + 6/7 +c
Step by Step Solution
There are 3 Steps involved in it
Get step-by-step solutions from verified subject matter experts
