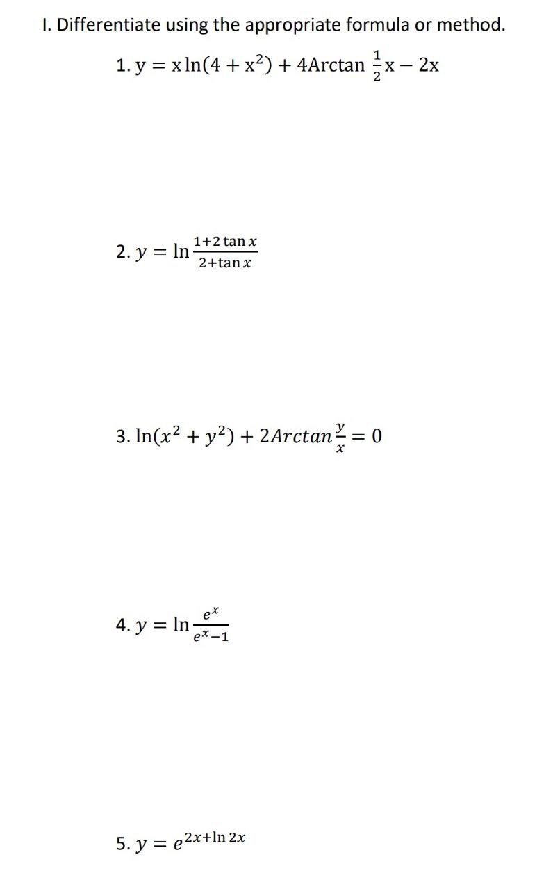
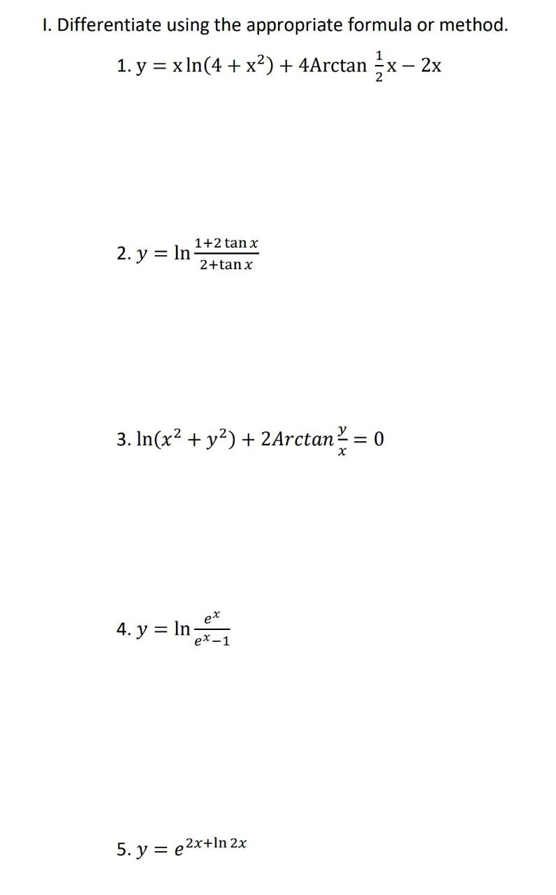
Question: 1. Differentiate using the appropriate formula or method. 1. y = xIn(4 + x2) + 4Arctan =x - 2x 2. y = In 1+2 tan


1. Differentiate using the appropriate formula or method. 1. y = xIn(4 + x2) + 4Arctan =x - 2x 2. y = In 1+2 tan x 2+tan x 3. In(x2 + y2) + 2Arctan- = 0 x ex 4. y = In ex -1 5. y = e2x+In 2x
Step by Step Solution
There are 3 Steps involved in it
Get step-by-step solutions from verified subject matter experts
