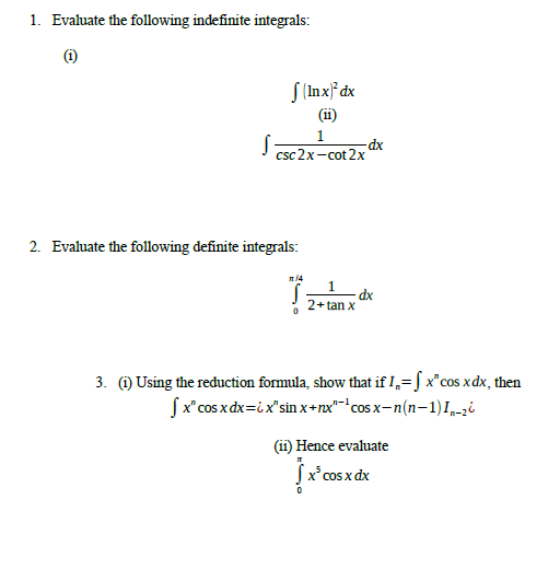
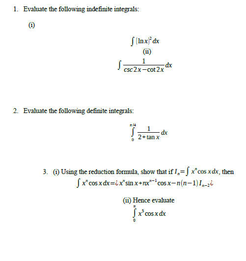
Question: 1. Evaluate the following indefinite integrals: (1) S [Inx] dx (ii) 1 dx csc 2x -cot 2x 2. Evaluate the following definite integrals: 1/4 1
![1. Evaluate the following indefinite integrals: (1) S [Inx] dx (ii)](https://s3.amazonaws.com/si.experts.images/answers/2024/06/666611025b0b6_05866661102493a1.jpg)

1. Evaluate the following indefinite integrals: (1) S [Inx] dx (ii) 1 dx csc 2x -cot 2x 2. Evaluate the following definite integrals: 1/4 1 dx 2 + tan x 3. (i) Using the reduction formula, show that if I,= ] x"cos xdx, then [ x" cos x dx=(x'sin x + rx"-cos x-n(n-1) I,_26 (ii) Hence evaluate [ x) cos x dx
Step by Step Solution
There are 3 Steps involved in it
Get step-by-step solutions from verified subject matter experts
