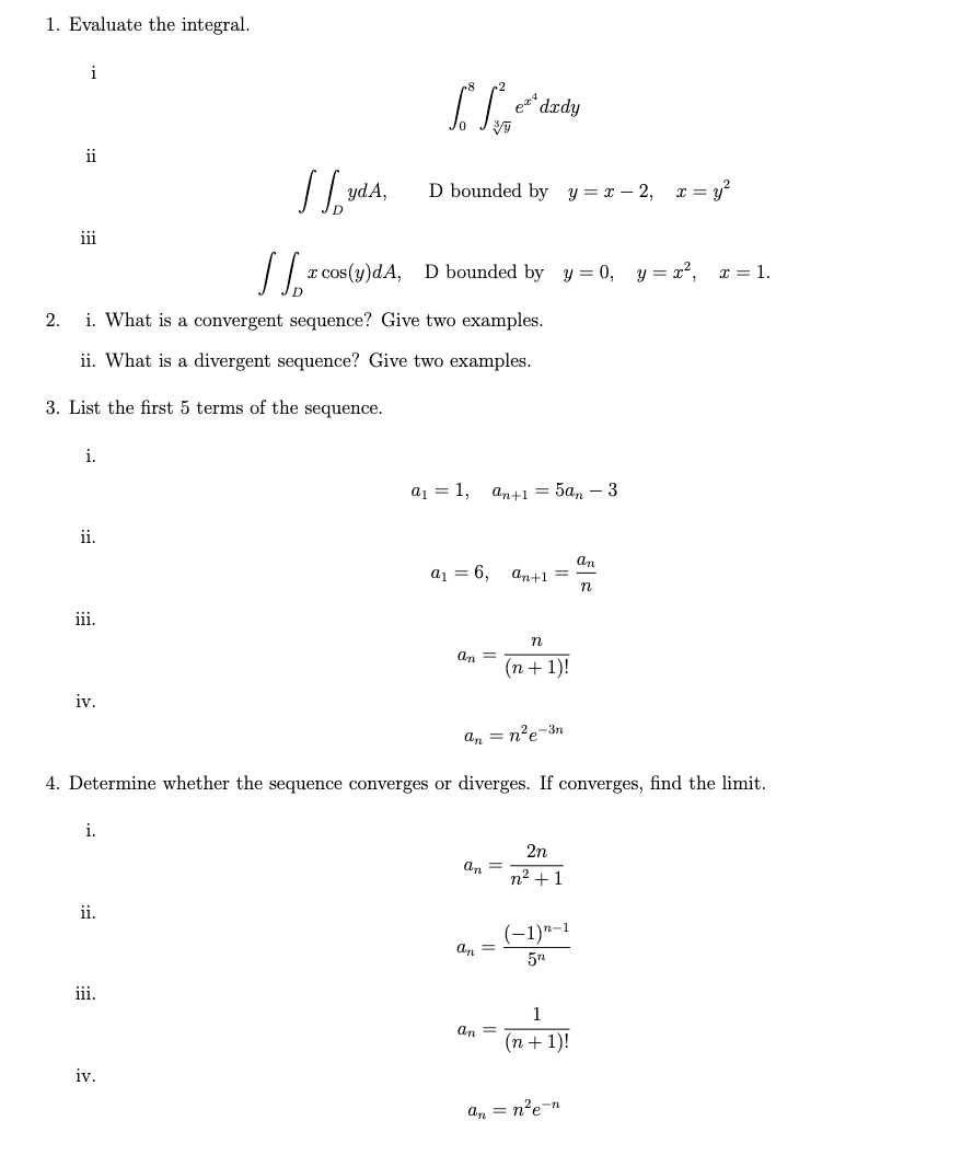
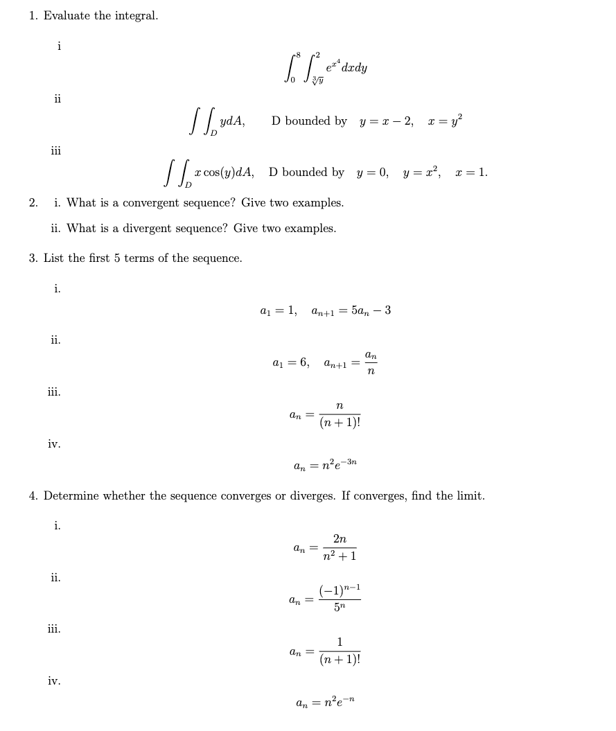
Question: 1. Evaluate the integral. ii ydA, D bounded by y= 1 -2, r= y' iii xcos(y)dA, D bounded by y= 0, y= 1, 1= 1.


1. Evaluate the integral. ii ydA, D bounded by y= 1 -2, r= y' iii xcos(y)dA, D bounded by y= 0, y= 1, 1= 1. 2. i. What is a convergent sequence? Give two examples. ii. What is a divergent sequence? Give two examples. 3. List the first 5 terms of the sequence. i. a1 = 1, an+1 = 5an - 3 ii. a1 = 6, an+1=- iii. n an = (n + 1)! iv . an = n'e-3n 4. Determine whether the sequence converges or diverges. If converges, find the limit. i. 2n an =- n2+ 1 ii. (-1)n-1 an iii. an = (n + 1)! iv . an = n'en
Step by Step Solution
There are 3 Steps involved in it
Get step-by-step solutions from verified subject matter experts
